Chapter 9
LETG: Low Energy Transmission Grating
9.1 Instrument Description
The Low Energy Transmission Grating (LETG
) was developed
under the direction of Dr. A.C. Brinkman in the Laboratory for Space
Research (SRON) in Utrecht, the Netherlands, in collaboration with the
MPE für Extraterrestrische Physik (MPE) in Garching,
Germany. The grating was manufactured in collaboration with
Heidenhaim GmbH.The Low Energy Transmission Grating Spectrometer (LETGS) comprises
the LETG, a focal plane imaging detector, and the High Resolution
Mirror Assembly discussed in Chapter 4. The
Chandra High Resolution Camera spectroscopic array (HRC-S) is the
primary detector designed for use with the LETG. The spectroscopic
array of the Chandra CCD Imaging Spectrometer (ACIS-S) can also be
used, though with lower quantum efficiency below ∼ 0.6 keV
and a smaller detectable wavelength range
than with the HRC-S. The High Energy Transmission
Grating (HETG) used in combination with ACIS-S offers superior
energy resolution and quantum efficiency above 0.78 keV. The HRC is
discussed in Chapter 7, the ACIS in
Chapter 6, and the HETG in Chapter 8.
The LETGS provides high-resolution spectroscopy (λ/∆λ
> 1000) between 80 and 175 Å (0.07-0.15 keV) and moderate
resolving power at shorter wavelengths. The nominal LETGS wavelength
range accessible with the HRC-S is 1.2-175 Å (0.07-10 keV);
useful ACIS-S coverage is 1.2 to roughly 60 Å ( ∼ 0.20-10 keV).
A summary of LETGS characteristics is given in
Table 9.1.
Table 9.1: LETGS Parameters
| Wavelength range | 1.2-175 Å (HRC-S) |
| 1.2-60 Å (ACIS-S) |
| Energy range | 70-10000 eV (HRC-S) |
| 200-10000 eV (ACIS-S) |
| Resolution (∆λ, FWHM) | 0.05 Å |
| Resolving Power (λ/∆λ) | ≥ 1000 (50-160 Å) |
| ≈ 20×λ (3-50 Å) |
| Dispersion | 1.148 Å/mm |
| Plate scale | 48.80 μm/arcsecond |
| Effective area (1st order) | 1-25 cm2 (with HRC-S) |
| 4-200 cm2 (with ACIS-S) |
| Background (quiescent) | Typically 10 (25) cts/0.07-Å/100-ksec
@ 50 (175) Å (with HRC-S after filtering) |
| << 0.01 cts/pixel/100-ksec
(with ACIS-S, order sorted) |
| Detector angular size | 3.37' × 101' (HRC-S) |
| 8.3' × 50.6' (ACIS-S) |
| Pixel size | 6.43 × 6.43 μm (HRC-S) |
| 24.0 × 24.0 μm (ACIS-S) |
| Temporal resolution | 16 μsec (HRC-S in Imaging Mode, center segment only) |
| ∼ 10 msec (HRC-S in default mode) |
| 2.85 msec-3.24 sec (ACIS-S, depending on mode) |
|
| Rowland diameter | 8637 mm (effective value) |
| Grating material | gold |
| Facet frame material | stainless steel |
| Module material | aluminum |
| LETG grating parameters | |
| Period | 0.991216 ±0.000087 μm |
| Thickness | 0.474 ±0.0305 μm |
| Width (at bar middle) | 0.516 ±0.0188 μm |
| Bar Shape | symmetric trapezoid |
| Bar Side Slope | 83.8 ±2.27 degrees |
| Fine-support structure | |
| Period | 25.4 μm |
| Thickness | 2.5 μm |
| Obscuration | < 10% |
| Dispersion | 29.4 Å/mm |
| Material | gold |
| Coarse-support structure | |
| Triangular height | 2000 μm |
| Width | 68 μm |
| Thickness | < 30 μm |
| Obscuration | < 10% |
| Dispersion | 2320 Å/mm |
| Material | gold |
|
9.1.1 Scientific Objectives
The LETGS provides the highest spectral resolving
power
( > 1000) on Chandra at low (0.07-0.2 keV) energies.
High-resolution X-ray spectra of optically thin plasmas with
temperatures between 105 and 107 K, such as stellar coronae,
reveal a wealth of emission lines that provide diagnostics of
temperature, density, velocity, ionization state, and elemental
abundances and allow precise studies of structure, energy balance, and
heating rates. Absorption features provides similar information in
cases where bright compact X-ray sources are embedded in cooler,
extended gas clouds.The high resolution (∆λ ≈ 0.05 Å) of LETGS
spectra at longer wavelengths (\mathrel > 100 Å) also permits detailed
studies of spectral line profiles in the X-ray region. These
studies may provide non-thermal velocities of stellar coronae, flow
velocities along active-region loops, orbital velocities in X-ray
binaries, and upflow velocities in stellar flares.
The LETGS also allows time resolved spectroscopy, 1-D spatially
resolved spectra, and spectra of multiple point sources within its ∼ 4
arcmin field of best focus
.
Since the ultimate spectral resolution can only be achieved for point
sources, the prime candidates for study in our Galaxy mainly comprise
stellar coronae, white dwarf atmospheres, X-ray binaries, and
cataclysmic variables. Extragalactic sources include relatively bright
active galactic nuclei (AGN) and cooling flows in clusters of
galaxies.
Flat transmission gratings were flown aboard Einstein and EXOSAT. The
LETG grating elements are produced using a technique similar to that
used for production of the EXOSAT gratings. However, the LETG shares
only basic operating principles with earlier instruments. Advanced
grating technology has enabled the achievement of greater efficiency
and increased dispersion. The Rowland geometry (see
Figure 8.4) of the grating plate and spectroscopic
arrays reduces dispersed image aberrations and hence contributes to
improved spectral resolution.
9.1.3 Operating principles
When inserted behind the HRMA, the LETG diffracts X-rays into a
dispersed spectrum according to the grating diffraction relation,
mλ = psinθ, where m is the integer order number,
λ the photon wavelength, p the spatial period of the grating
lines, and θ the dispersion angle. Parameters are summarized
in Table 9.1. The grating facets are mounted on an
aluminum support plate which has been machined so that the centers of
individual grating facets lie on a Rowland torus.
The grating facets are aligned to produce a single
dispersed image. Spectral resolution
is determined, among other factors,
by grating line density, line density variations, HRMA point-spread
function, pointing stability, alignment accuracy, pixel size of the
readout detector, and detector geometry.
9.1.4 Physical configuration
When the LETG is used, the Grating Element Support Structure
(GESS
), an aluminum frame approximately 110 cm in diameter
and 6 cm thick, is inserted ∼ 300 mm behind the exit aperture of
the HRMA and 1.4 m behind the HRMA mid-plane. The GESS holds
approximately 180 trapezoidal grating modules, which measure about 13
× 50 mm. A design drawing of the full GESS is shown in
Figure 9.1; a closer view, showing some mounted
modules, is seen in Figure 9.2.
Figure 9.3 shows empty grating modules mounted on
the GESS. Each grating module holds three circular grating facets,
each of which comprises approximately 80 of the triangular grating
elements seen in Figure 9.4.
Figure 9.1: LETG Grating
Element Support Structure, a machined aluminum plate approximately 110
cm in diameter that holds grating modules on a Rowland torus behind
the Chandra mirrors.
Figure 9.2: Detail of the LETG Grating Element Support Structure
showing grating modules mounted on the inner annulus.
Figure 9.3: A closeup view of the
LETG GESS showing nearly three complete grating modules. Each module
holds three circular grating facets, and each facet contains approximately 80 triangular grating elements.
In contrast to the HETG gratings, which have a thin polyimide substrate,
the LETG gratings are free-standing wires held by a support mesh.
Within each grating facet the grating bars are supported by
perpendicular "fine support" bars and triangular "coarse support"
bars. The parameters of these structures are given in
Table 9.1. A schematic of the grating structure is
shown in Figure 9.4. Both the fine and coarse grating
supports act as long-period transmission gratings themselves. The fine
support produces a dispersion pattern perpendicular
to the grating dispersion direction and
the coarse support produces a six-pointed star pattern.
These are discussed in more detail in Section 9.4 (see
Figures 9.23 and 9.27, respectively).
Figure 9.4: LETG
facet structure schematic showing the basic shape of the individual
grating elements and the relative sizes of the support structures.
The upper view shows the complete grating element, which comprises the
triangular coarse support, the vertical fine supporting bars, and the
(horizontal) grating bars. The grating bars themselves are not shown
to scale. In the upper view every 50th grating bar is drawn,
in the lower view every 10th bar.
Since the gratings are produced from a single master mask, there is
negligible variation in the period between facets.
The thickness of the gold of the grating bars on top of the support
mesh determines the "phasing," or efficiency of redistribution of
photons into each spectral order in wavelengths where the gold is
partially transparent. The thickness is designed to optimize the
1st order response at energies of interest.To reduce aberrations, the GESS is shaped to follow the Rowland
torus.
The basics of the Rowland geometry
are shown in Figure 8.4. The primary readout
detector (HRC-S
) is made of three tilted array
segments which also follow the Rowland circle in the image plane (see
Figures 7.2 and 9.5). Because the
detector array elements are flat, the distance from the Rowland circle
changes with position, and so the spectral resolution changes very
slightly with wavelength. The secondary readout detector, ACIS-S, has
6 CCDs, each of which is only one-quarter as long as an
HRC-S segment, so the ACIS-S array
follows the Rowland circle even more closely.
Figure 9.5: The
front surfaces of the HRC-S detector segments and their relationship
to the Rowland circle are shown schematically. The scalloped line
beneath them is the difference between the detector surface and the
Rowland circle.
9.2 Calibration
9.2.1 Pre-launch Calibration
Prior to assembly, individual grating elements were tested using a
visual light spectrograph at the MPE. Laboratory
calibration
of grating period and
resolution was performed for individual grating elements at optical
wavelengths, and extrapolated to the X-ray range. Grating
efficiencies at X-ray wavelengths were modeled using near-infrared
spectrophotometry, and verified by X-ray measurements of a sample of
facets. Grating facet and module alignment was also tested.
LETGS efficiency, resolution, and line response function were tested
at the X-ray Calibration Facility at MSFC in Huntsville, AL for both
ACIS-S and HRC-S configurations.
Absolute
energy scale and off-axis response were also measured. Efficiency and
the Line Spread Function (LSF) of the LETG and HRMA/LETG subsystem
were characterized using a detector system designed for
HRMA calibration, the HRMA X-ray Detection System (HXDS). Details
may be found in the XRCF Final Report at
http://cxc.harvard.edu/cal/Hrma/XRCFReport.html.
9.2.2 In Flight Calibration
In-flight calibration of the LETGS, along with its primary detector,
the HRC-S, is planned and executed by the CXC LETG team.
LETG first-light and focus observations were of the active late-type
binary Capella whose coronal spectrum is rich in narrow spectral lines
(see Figure 9.26). Spectra of Capella, the
late-type star Procyon (F5 IV), and serendipitous Guest Observer
targets have been used in calibration of the LETG dispersion
relation, resolving power, line response function, and
grating-detector alignment.Calibration of the LETGS effective area (EA) and HRC-S quantum
efficiency (QE) at energies above the C-K edge (0.28 keV,
44 Å) relies primarily on observations of the quasar continuum
source PKS 2155-304 and (earlier in the mission) 3C 273 and Capella.
PKS 2155-304 also has
been regularly observed with LETG/ACIS-S to monitor contamination
buildup on ACIS (see Section 6.5.1) and for cross
calibration with other X-ray missions.
Mkn 421 largely replaced PKS 2155-304 as an ACIS contamination
monitoring source starting
in 2010, and RX J1856 (neutron star continuum source)
was recently added for the same purpose.
For calibration of the
LETG/HRC-S EA at longer wavelengths, observations of the hot DA
white dwarfs HZ 43 and Sirius B are used.
Early in the mission, most calibration targets were observed at least
twice per year to monitor LETGS operation, but calibration
observations are now less frequent. Regularly observed sources and monitoring
frequencies are listed in Table 9.2. Other targets
are occasionally observed to meet specific calibration needs that
might arise, and ACIS-S and HRC-S (see Table 7.3)
are routinely calibrated by themselves (i.e., without gratings).
Table 9.2: Routine LETGS Calibration Monitoring Observations
|
| Target | Freq. | Purpose |
| (yr−1) | |
| Capella | 1 | LETG/HRC-S LRF, dispersion relation, QE, EA
|
| PKS 2155-304 | 1 | LETG/ACIS-S EA, ACIS-S contam, cross calib
with XMM, Suzaku |
| Mkn 421 | 1 | LETG/ACIS-S and LETG/HRC-S EA, ACIS-S contam,
HRC-S gain |
| RX J1856-3754 | 1 | LETG/ACIS-S EA and ACIS-S contam |
| HZ 43 | 1 | LETG/HRC-S EA and HRC-S gain |
|
9.3 LETGS Performance
Overview
The primary use of the LETG is for on-axis observations of point
sources, which produce a zero-order image and a dispersed spectrum.
Typical LETGS observations range from a few tens to several hundred
ksec. To reduce the (small) risk that the grating mechanism might
fail, its frequency of use is minimized by grouping grating
observations into consecutive time blocks whenever possible.The net LETG transmission is ∼ 28% at energies below ∼ 1 keV
(about 12.5% for zeroth order, the same for 1st order,
and a few percent for all other orders)
so counting rates are usually not a concern with respect to exceeding detector limits or
telemetry saturation. However, some bright sources (e.g. Sco X-1)
if observed for long exposure times could cause significant charge
depletion in the HRC MCPs (see Chapter 7, especially
Section 7.13),
and even moderate rates may cause pileup
problems when using ACIS-S (see Sections 6.15
and 9.4.1).
Some observers may find it useful
to insert the LETG for imaging observations simply to reduce the
detected photon counting rate.
Detectors
In standard operation, the LETGS uses either the HRC-S or
ACIS-S as its detector. The LETG+HRC-S
covers a wavelength range of approximately −165 to +175 Å in
1st order for on-axis sources. This wavelength range can be shifted
somewhat by offset pointing, but image quality degrades substantially
beyond about 2′. The HRC-S does not have sufficient energy
resolution to allow sorting of overlapping spectral orders. In rare
cases it might be useful to use the HRC-S Low Energy Suppression
Filter (LESF), as discussed in Section 9.4, in
order to obtain a predominantly higher-order (m > 1) spectrum.
The LESF is a region on the HRC-S UV/Ion Shield (UVIS) where
the aluminum coating is relatively thick, and corresponds to
the upper part of the "T" in Figure 7.1.
Note that the Al coating on the LESF is thicker on the
outer plates than on the central plate.
See Figures 9.17 and 9.19
for the effect of the LESF on
1st and higher order effective areas.
When used with the ACIS-S detector, the effective LETGS wavelength
coverage is reduced because of the smaller detector size in the dispersion
direction (ACIS-S is only half as long as the HRC-S) and the fact
that the two outermost chips (S0 and S5) have essentially zero QE for
detecting 1st order LETG photons (see
Figure 9.6). Another consideration is that
ACIS has lower temporal resolution than HRC, which may be important
when observing periodic or rapidly varying sources. In some cases,
however, those disadvantages may be outweighed by the lower effective
background rate and intrinsic energy resolution of ACIS, which can be
used to separate diffraction orders. Note that the CTI-degraded
energy resolution of the ACIS FI CCDs (Section 6.7)
does not pose a problem for LETG point-source observations, since the
source can be placed close to the ACIS readout, where the
energy resolution is best.
Figure 9.6: LETGS 1st order effective area (EA) with ACIS-S and HRC-S,
showing plus and minus orders separately; lower panel shows low-EA
regions in more detail.
The effects of dither and ACIS bad columns
are explicitly included.
Dotted lines mark ACIS chip
boundaries, and HRC plate gaps appear near −53 and +65 Å.
ACIS curve is for Y-offset=+1.5′ and HRC curve is for Y-offset=0'.
EAs are taken from mid-2012; the LETG+ACIS EA
is very slowly decreasing over time because of increasing contamination.
Note its abrupt decline beyond
∼ 28 Å as longer wavelengths fall on the FI S4 chip,
whereas the BI S1 chip provides useful EA well beyond 50 Å.
Y-offsets may be chosen to tailor the coverage of BI chips (S1 and S3),
which have significantly higher QE at low energies
than the FI chips.
See Section 9.4.2/Offset Pointing for more
information regarding the choice of Y-offset.
See also Figure 9.17 which plots effective areas for
combined plus and minus orders.
In some special cases, the HRC-I may also be used with the LETG.
A detailed discussion of the various merits of LETGS detector choices
from a point of view of proposal planning is given in
Section 9.4.
Off-Axis and Multiple Sources
Because the LETGS is essentially an objective-grating system, it is
possible to do multi-object spectroscopy, although as noted above, the
point-spread function degrades rapidly off-axis. To include or reject
secondary sources, or to avoid overlapping diffraction from multiple
sources,
observers may specify the
orientation (roll angle) of the grating dispersion direction on the
sky (see Chapter 3). Observations of extended
sources
are also possible, but at the
expense of resolving power and with the loss of the simple relation
between position and energy. In angular extent, the standard
HRC-S spectroscopy readout region is 3.37′ x 101′, and
the full ACIS-S array covers 8.3′×50.6′.
In special cases, a different HRC-S detector "window" (up to twice
as wide in cross-dispersion) may be selected, as described in
Section 9.4.
9.3.2 Wavelength Coverage and Dispersion Relation
The active extent of the HRC-S in the dispersion direction is 296 mm,
almost exactly twice that for the ACIS-S. The nominal zeroth-order
aimpoints for each detector are slightly offset from the detector
center so that gaps between the three HRC-S segments (six
ACIS-S segments) will occur at different wavelengths in negative and
positive orders. A Y-axis offset (along the dispersion axis) of +1.5′ is
usually used with LETG+ACIS-S observations to shift coverage of longer
wavelengths onto the backside-illuminated S1 and S3 chips, which
have higher QE at low energies than the other ACIS-S chips.
With a dispersion of 1.148 Å/mm for the LETG, the standard
wavelength range of the LETGS with HRC-S is −164 Å to
+176 Å. Physical coverage with ACIS-S extends from −87 to
+84 Å when using Y-offset=+1.5′, but the poor low-E response of
the outlying front-illuminated chips limits the effective wavelength
range to −60 Å for negative 1st order and less than about
+30 Å for the positive order (see
Figure 9.6). Outlying chips may be useful,
however, for collecting higher-order spectra.
Off-Axis Pointing and Detector Gaps
Wavelength coverage can be adjusted (increasing the wavelength range
on one side and decreasing on the other) by changing the central
offset (the observatory Y coordinate-see the discussion in
Chapter 3) although spectral resolution degrades rather
quickly beyond about 4′ from the optical axis. From the
information in Table 9.1, one can derive the
relationship between angular offset (in the dispersion direction) and
wavelength as 3.36 Å per arcminute, so an offset of 10′
would stretch the positive order HRC-S coverage to approximately
210 Å (60 eV). While the vast majority of LETG observations have
been made with offsets of less than 2′, flight
LETG calibration data have been collected at 5′ off-axis (for
resolution testing) and 10′ off-axis (for effective area
calibration).As noted in Section 9.3.2,
there are gaps between detector segments which create
corresponding gaps in the wavelength coverage of each order. The gaps
in + and − orders do not overlap so that the combined wavelength
coverage is continuous. The location of the gaps
(neglecting the effects of dither) are listed
in Table 9.3,
which also lists the location of the HRC-S UV/Ion Shield
inner "T" filter edge.
Dithering the spacecraft will partially smooth these gaps, but
observers may wish to adjust the source pointing if a favorite line
falls in a gap, or to tune the wavelength coverage of the higher-QE
back-illuminated (S1 and S3) ACIS-S chips. Standard HRC dither
amplitude (full width, in both directions) is 40′′ (1.95 mm),
which covers 2.3 Å, and standard ACIS dither is 16′′ (0.78
mm), or 0.9 Å.
Please see the "Checking your LETG/ACIS Obscat Setup" web
page at
http://cxc.harvard.edu/cal/Letg/ACIS_params.
An interactive tool for visualizing spectral feature placement on
the ACIS array as a function of Y-offset and source redshift is
available there.
| Detector | Section | Energy | Wavelength |
| | (eV) | (Å) |
| HRC-S | UVIS Inner T (thick Al) | (690) - 690 | (18) - 18 |
| HRC-S | seg-1 (neg. mλ) | (75) - (220) | (164) - (56) |
| HRC-S | seg0 | (240) - 200 | (51) - 62 |
| HRC-S | seg+1 (pos. mλ) | 185 - 70 | 67 - 176 |
| ACIS-S | S0 (neg. mλ) | (142) - (210) | (87.1) - (58.9) |
| ACIS-S | S1 (Back-illuminated) | (212) - (410) | (58.5) - (30.2) |
| ACIS-S | S2 | (417) - (7700) | (29.7) - (1.6) |
| ACIS-S | S3 (Back-illuminated) | (11000) - 459 | (1.1) - 27.0 |
| ACIS-S | S4 | 451 - 223 | 27.5 - 55.7 |
| ACIS-S | S5 (pos. mλ) | 221 - 147 | 56.2 - 84.3 |
Table 9.3: LETG Position-Dependent Spectral Coverage (1st Order).
Energies and
wavelengths for the negative order are given in parentheses. Listed
values are for the most commonly used pointing (on-axis for HRC-S and
Y-offset = +1.5′ for ACIS-S) without dither. Standard dithering
affects 1.1 Å on the edge of each HRC-S segment and 0.45 Å on
the edge of each ACIS chip. Typical uncertainties are of order 0.3
Å and arise from aimpoint drifts and target acquisition errors.
Energies and wavelengths for the negative order are listed
in parentheses.
Note that the QE for FI ACIS chips is much lower than for BI chips at
low energies, rendering S0, S4, and S5 of limited use (see Figure
9.6). Please see
http://cxc.harvard.edu/cal/Letg/ACIS_params
for up-to-date and detailed information regarding offset pointing and
wavelength ranges.
Dispersion Calibration
Overall wavelength calibration is accurate to
a few parts in 10000 across the full wavelength range of the
instrument, and the Rowland diameter has remained stable since launch.
The RMS deviation between observed and predicted wavelengths for a set
of relatively unblended lines observed in Capella spectra amounts
to 0.013 Å, after correction for the relative spacecraft and Capella
radial velocity differences. Through analysis of accumulated
calibration and GO observations, some remaining differences between
predicted and observed line wavelengths have been found to be caused
by small event position errors at some locations on the HRC-S detector.Position errors occur in both dispersion and cross-dispersion axes,
though for spectroscopy the latter are usually not important because
data are generally summed in the cross-dispersion direction. The
magnitude of position errors in the dispersion axis for the central
HRC-S plate range from 0 to ∼ 0.05 Å, with typical errors of
∼ 0.01-0.02 Å . The outer plates ( > 60 Å ) tend to exhibit
larger errors of typically ∼ 0.02-0.08 Å. The size of the
position errors changes over spatial scales of the HRC readout taps,
which are 1.646 mm apart (see Chapter 7 for details of
the HRC). Spacecraft dither moves dispersed monochromatic photons of
a given order over a region of the detector that is roughly 2mm
square. Within any given dither region, then, monochromatic light
will fall on detector regions that have different position
determination errors. As a result, a narrow spectral line could
suffer some distortion of its line profile
and/or a small shift of its apparent wavelength.
Such distortions or shifts could occur at
the spacecraft dither frequency (see Chapter 5);
observers should therefore exercise caution in interpretation of such
periodic effects. Care should also be taken when interpreting the
results of combined spectra from + and − orders, since these effects
are not symmetrical about zeroth order.
The position errors appear to be stable in detector coordinates
and to repeat in different observations for which the aim points are
very similar. An empirical correction for the effect based on
accumulated calibration and GO observations has been derived and is
implemented in CALDB 3.2.0 as part of the HRC-S degap map. Details on
the derivation of the wavelength corrections can be found on the
"Corrections to the Dispersion Relation" page at
http://cxc.harvard.edu/cal/Letg/Corrlam.
After correction, the RMS
deviation between observed and predicted wavelengths lines observed in
Capella are reduced from 0.013 to 0.010 Å across the entire
wavelength range of the instrument. Corrections for the outer plates
( > 60 Å) are much less effective owing to a lack of reference
lines with adequate signal-to-noise ratio. For the central plate
alone, the RMS deviation amounts to 0.006 Å .
For the purposes of observation planning, it should be assumed that
individual observed line wavelengths could be in error by up to
about 0.02 Å for λ < 60 Å, and 0.05 Å for λ > 60 Å.
Despite the observed repetition in pattern from observation to
observation, observers are reminded that the exact wavelength error
for any given line depends on the exact position of the target on the
detector. Small differences in actual aim point that occur naturally
between observations as a result of uncertainties in aspect and target
acquisition (see Chapter 5) mean that wavelength
shifts for a specific line are not generally repeatable from one
observation to another and might also be subject to small secular
trends.
9.3.3 Resolving Power
The dominant contribution to the LETGS line response function (LRF)
and instrument resolving power is the HRMA point-spread function
(PSF), which is ∼ 25 μm FWHM, depending on energy. The next
most important factor is the detector PSF, which is ∼ 20 μm
FWHM for the HRC-S, with 6.43-μm-wide pixels; ACIS pixels
are 24 μm wide. Uncertainties in
correcting photon event positions for the observatory aspect, which
occurs during ground data processing, adds a small contribution of
order a few μm. Finally, the small errors in event position
determination resulting from HRC-S imaging non-linearities described
in Section 9.3.2 can lead to some distortion
of spectral line profiles. These effects are difficult to quantify in detail but are
estimated to affect the line FWHM by less than 25%.
When all these effects are combined, the LETGS line response function
is generally ∼ 40 μm FWHM. With a conversion of 1.148 Å/mm
for the LETG, a good figure of merit for LETGS resolution is
therefore 0.05 Å. Because the three segments of the HRC-S can not
perfectly follow the Rowland circle (see Figure 9.5),
however, resolution varies slightly along the detector, and is lowest
near the ends of each detector segment. Resolution degradation is
almost negligible when using the ACIS-S, since its six segments more
closely follow the Rowland circle, although the coarser ACIS pixel
size (24 μm vs. ∼ 40-μm-FWHM LRF) means that line profiles
are barely adequately sampled. A plot of LETGS resolving power for
an on-axis point source, based on results from an observation of
Capella, is shown in Figure 9.7.
Figure 9.7: LETG spectral resolving
power, as derived from observations of Capella (Obs ID's 1248, 1009,
58) and Procyon (Obs ID's 63, 1461) with the HRC-S. The analysis is
based only on spectral lines thought not to be affected significantly
by blending at the LETGS resolution. Measured line widths were
corrected for source orbital, rotational, and thermal motions. The
dashed line is an optimistic error budget prediction calculated from
pre-flight models and instrument parameters. The conservative solid
curve is based on in-flight values of aspect, focus, and
grating period uniformity. The deviations from approximate linearity
near ±60 Å and at the longest wavelengths arise from deviations
of the HRC surface from the Rowland circle (see
Figure 9.5). Deviations in the experimental data from
a smooth curve are likely caused by hidden blends not predicted by the
radiative loss model and by detector imaging nonlinearities
discussed in Section 9.3.2.
Plots of fits to the LETG+HRC-S LRF at zeroth order and of Fe XVII
and XVIII lines at ∼ 17 and 94 Å are given in
Figures 9.8 and 9.9.
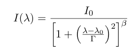
The fitted form is a Moffat function:
where λ0 is the
wavelength of the line center and Γ is a measure of the line width.
The relation between Γ
and the line FWHM depends on β. For a Lorentzian profile, or
β = 1, the profile FWHM is Γ/2. For the value β = 2.5
recommended here, FWHM ≈ 1.13Γ.Figure 9.10 illustrates the χ2 of fits to the
zeroth order profile vs. β, and shows a best-fit profile with an
index of ∼ 2.5. (Note that β = 1.0 yields a Lorentzian profile.)
The best fit to the very high signal-to-noise-ratio zeroth order profile is
far from being statistically satisfactory. However, spectral lines
seen in first order generally contain orders of magnitude fewer counts
than in the zeroth order of the well-exposed calibration spectrum shown,
and the Moffat function nearly always provides a good
match. Line response functions can also be generated
within CIAO in the RMF FITS format. These are based on ray trace
simulations using the MARX program and generally match observed line
profiles to a level of 10% or better once intrinsic source
broadening terms have been taken into account. Observers wishing to
use line profile shapes as a diagnostic tool should keep in mind
that, in the case of LETG+HRC-S observations, non-linearities in the
HRC-S imaging can lead to significant distortions of observed line
profiles (see Section 9.3.2).
Figure 9.8: Observed LETG zeroth-order LRF
from in-flight calibration observations of the active late-type binary
Capella. The model profile, the continuous curve, is a Moffat function
(see Equation 9.1)
corresponding to the best-fit value of β = 2.5. While this function represents a statically-poor fit to this extremely high S/N zeroth-order
profile, it is a good approximation to the LRF for lines in the dispersed spectrum
containing many fewer counts.
Figure 9.9: LETGS line response function
as illustrated by two bright Fe lines (Fe XVII at ∼ 17 Å and Fe
XVIII at ∼ 94 Å ) using in-flight calibration observations of
Capella. The solid curves are best-fit Moffat functions with
β = 2.5.
Figure 9.10: LETGS zeroth order profile goodness of fit vs. β,
showing a best-fit profile with an index of ∼ 2.5
(see Equation 9.1).
Extended Sources
If a source is extended,
there is no
longer a unique mapping between the position of an event in the focal
plane and wavelength, and this results in the apparent degradation of
spectral resolving power. For very large sources, the grating
resolution may be no better than the intrinsic ACIS energy
resolution.The effect of increased source size on the apparent LETG spectral
resolving power has been simulated using the MARX program, and
results are shown in Figure 9.11. Another
illustration of the effect of source extent may be seen in
Figure 9.30 (Section 9.4), which
shows model spectra over a small wavelength range.
Figure 9.11: LETG spectral resolving power for extended sources. The
predicted LETG resolving power (E/∆E) is shown versus
wavelength for several source sizes. The MARX simulator has been
used, and the source is represented by a β model
(Equation 9.2). For comparison, the spectral resolution
for ACIS front-illuminated CCD chips is shown (thick solid
line). Note that the ACIS/FI curve does not include the effects of
CTI, which progressively degrades resolution away from the readout
edge (most of this degradation can be compensated for in data
analysis).
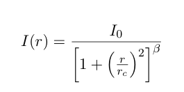
In each case, extended sources were modeled using a Beta model for the
surface brightness profile. Beta models are often used to describe
the distribution of emission in galaxies and clusters of galaxies, and
have an identical form to the Moffat function used to describe the line
profile above, except that the intensity dependence is radial:
where I(r) is the surface brightness, r is the radius,
and rc characterizes the source extent. The value of β was set to a
typical value of 0.75 and simulations were performed for different
values of the source extent, rc.
Off-Axis Sources
Similarly, for sources off-axis, the increased point-spread function
decreases the spectral resolving power. The effect on off-axis
sources has been simulated with MARX and is shown in
Figure 9.12.
Figure 9.12: LETG spectral resolving power for off-axis sources. The
predicted LETG resolving power (E/∆E) is shown versus
wavelength for various off-axis distances. For comparison, the spectral resolution for ACIS
front-illuminated CCD chips is shown. Note that the ACIS/FI curve
does not include the effects of CTI, which progressively degrades
resolution away from the readout edge.
As with extended sources, an ACIS pulse-height spectrum may, in
extreme cases, provide energy resolution comparable to or better
than the LETG for a source far off-axis.
9.3.4 Grating Efficiency
Fine and Coarse Support Structure Diffraction
As explained in Section 9.1, the LETG has fine
and coarse support structures which are periodic in nature, and have
their own diffraction characteristics. The fine support structure
disperses photons perpendicularly to the main spectrum, with about
1/26 the dispersion of the main grating. The coarse support is a
triangular grid, and creates a very small hexagonal diffraction
pattern which is generally only discernible in zeroth order or for very
bright lines. Examples of this secondary diffraction are visible in
Figures 9.23, 9.24, and
9.27, all in Section 9.3.7.The two support structures each diffract roughly 10% of the X-ray
power, but the coarse-support diffraction pattern is so small that
essentially all its photons are collected along with the primary
spectrum during spectral-region extraction in data analysis. A
significant fraction of the fine-support diffraction pattern, however,
may lie outside the spectral extraction region, resulting in a loss of
several percent of the total X-ray intensity (see,
e.g., Figure 9.23). The fractional
retention of X-ray power in the source extraction region is referred
to as the spectral extraction efficiency and is discussed in
Section 9.3.5.
Total Efficiencies
The zeroth, 1st, and selected higher-order grating
efficiencies
, based on a rhomboidal
grating bar analytical model and verified by ground calibration, are
shown in Figure 9.13. The efficiency for each order is
defined as the diffracted flux with the grating assembly in place
divided by the flux if the grating assembly were not in place.
Plotted values are for the total diffraction efficiency (including
photons diffracted by the coarse and fine support structures), with
negative and positive orders summed.
Even orders are generally weaker than odd orders up through roughly
6th order.
Figure 9.13: LETG grating efficiency. Combined
positive and negative order efficiency is plotted versus wavelength and
energy. For clarity, even and odd orders are plotted separately;
the sum of orders 11-25 is also shown. Plotted values include all
support structure diffraction. Net efficiency when using a spectral
extraction region (see Figures 9.14 and 9.15) is 10-15% lower.
Features near
6 and 80 Å are due to the partial transparency of the gold grating
material at these wavelengths.
The wiggles near 80 Å, and the stronger features near 6 Å, arise
from partial transparency of the gold grating material to X-ray
photons. Note that there are no absorption-edge features from C, N, or
O in the LETG efficiency as there are in the HETG, because the
LETG does not use a polyimide support film.
9.3.5 Effective Area
The LETGS effective area for any diffraction order is equal to the
product of the HRMA effective area, the net LETG efficiency for that
order (including spectral extraction efficiency),
and the overall detector efficiency (which varies slightly
depending on exactly where the diffracted spectrum falls on the
detector). For LETG/ACIS-S there is an additional factor,
the Order Sorting Integrated Probability (OSIP), which is determined
by the width of the ACIS-S energy filter for each diffraction order.
All these quantities vary with wavelength.Of the contributors listed above, the HRMA EA (see Chapter 4)
is the best calibrated within the LETGS energy band.
The largest contributor to the LETG/HRC-S effective area uncertainty
is the efficiency of the HRC-S,
especially at longer wavelengths ( > 44 Å
; < 0.28 keV) where ground calibration is very difficult or
impossible.
In-flight calibration (see Section 9.2.2),
particularly of the net 1st order effective area, has provided the
best and most extensive data, and the effective area is now believed
to be accurate to a level of approximately 10-15% or better
across the entire bandpass.
Effective areas for orders 2-10 have been calibrated relative to
1st order to an accuracy of 5-10% (best for 3rd order and generally
worsening with increasing m),
using both ground and flight data. Uncertainties for λ\mathrel < 6 Å,
mλ\mathrel > 80 Å, and orders beyond 10th may be larger
but are usually unimportant.
Instrument Spectral Features
In addition to fixed-position detector features (primarily detector
segment gaps-see Section 9.3.2) there are
instrumental spectral features which occur at fixed energies because
of absorption edges in the materials comprising the HRMA, LETG, and
HRC-S or ACIS-S. The edges are tabulated in Table 9.4
and can be seen in the effective area curves (such as
Figure 9.17) as decreases or increases in effective area
depending on whether the material is part of the mirror, the filter,
or the detector. Every effort has been made to adequately calibrate
Chandra over its entire energy range, but it should be understood
that effective areas near absorption edges are extremely difficult to
quantify with complete accuracy and uncertainties in these regions are
inevitably higher.
Table 9.4: Instrumental Absorption Edges
| Instrument | Element | Edge | Energy | Wavelength |
| | | (keV) | (Å) |
| HRC | Cs | L | 5.714 | 2.170 |
| HRC | Cs | L | 5.359 | 2.313 |
| HRC | I | L | 5.188 | 2.390 |
| HRC | Cs | L | 5.012 | 2.474 |
| HRC | I | L | 4.852 | 2.555 |
| HRC | I | L | 4.557 | 2.721 |
| LETG | Au | M | 3.425 | 3.620 |
| LETG | Au | M | 3.148 | 3.938 |
| HRMA | Ir | M | 2.909 | 4.262 |
| LETG | Au | M | 2.743 | 4.520 |
| HRMA | Ir | M | 2.550 | 4.862 |
| LETG | Au | M | 2.247 | 5.518 |
| LETG | Au | M | 2.230 | 5.560 |
| HRMA | Ir | M | 2.156 | 5.750 |
| HRMA | Ir | M | 2.089 | 5.935 |
| ACIS | Si | K | 1.839 | 6.742 |
| HRC, ACIS | Al | K | 1.559 | 7.953 |
| HRC | Cs | M | 1.211 | 10.24 |
| HRC | I | M | 1.072 | 11.56 |
| HRC | Cs | M | 1.071 | 11.58 |
| HRC | Cs | M | 1.003 | 12.36 |
| HRC | I | M | 0.931 | 13.32 |
| HRC | I | M | 0.875 | 14.17 |
| HRC | Cs | M | 0.7405 | 16.74 |
| HRC | Cs | M | 0.7266 | 17.06 |
| HRC | I | M | 0.6308 | 19.65 |
| HRC | I | M | 0.6193 | 20.02 |
| ACIS | F | K | 0.687 | 18.05 |
| HRC,ACIS | O | K | 0.532 | 23.30 |
| HRMA | Ir | N | 0.496 | 25.0 |
| HRC | N | K | 0.407 | 30.5 |
| HRC,ACIS | C | K | 0.284 | 43.6 |
| HRC | Al | L | 0.073 | 170 |
Spectral Extraction Efficiency
In practice, it is impossible to "put back" photons which undergo
secondary diffraction (from the coarse and fine support structures) in
a real observation. Instead, one defines an extraction region for the
observed spectrum and adjusts the derived spectral intensities to
account for the fraction of total events that are contained within the
extraction region.
Figure 9.14: A MARX
simulation of a flat spectrum illustrating the broadening of the
LETG+HRC-S profile in the cross-dispersion direction, and showing
the "bow-tie" spectral extraction window. Note that the vertical
axis is highly stretched. The cross-dispersion
profile of an LETG+ACIS-S spectrum is approximately constant
across its smaller wavelength range and the default
extraction window (not shown) is rectangular.
Figure 9.15: Spectral
extraction efficiencies for LETG+ACIS for various
extraction region half-widths (tg_d values listed in degrees).
Approximately 10% of the
total power is diffracted by the fine-support structure and most
of it falls outside the
extraction region; the peaks toward shorter wavelengths reflect
the inclusion of progressively higher orders of cross-dispersed
events within the extraction region. The otherwise general trend of
declining efficiency toward short wavelengths is caused by increased
scattering. The slight fall-off beyond ∼ 60 Å is due to astigmatism,
i.e., an increasing fraction of events are lost as the dispersion
pattern broadens (see Figure 9.14).
In 2010 the default spectral extraction region
was narrowed from | tg_d | < 0.0020 to 0.0008 degrees after a
slight misalignment between the dispersed spectrum and the
extraction region was corrected.
The default extraction region for the LETG+ACIS-S
configuration is a rectangle; that for the LETG+HRC-S configuration is
"bow-tie" shaped, comprising a central rectangle abutted to outer
regions whose widths flare linearly with increasing dispersion
distance (see Figure 9.14).
The shape of the bow-tie has been optimized to match the astigmatic
cross-dispersion that is a feature of Rowland-circle geometry, with
the goal of including as much of the diffracted spectrum as possible
while minimizing the included background. Extraction efficiencies
for LETG+ACIS are illustrated in
Figure 9.15.
For custom analysis (such as when narrower or wider extraction
regions are needed),
CIAO permits adjustment of spectral and background regions by the user.
Whatever spectral region is chosen, CIAO computes the
extraction efficiency and includes it as a factor in the
Response Matrix File (RMF). Users then apply this
RMF together with the effective area from the CIAO-computed
Ancilliary Response File (ARF) during subsequent analysis.
Zeroth and First-Order Effective Areas
Although the HRC-S is the default detector for the LETG, other
detector configurations are possible. Figures 9.16
and 9.17 show effective areas
for the LETG
zeroth and 1st
orders, respectively, when using the
HRC-S, HRC-S with LESF, or ACIS-S as the readout detector. Based upon
these and other plots, the various tradeoffs as to the use of each
detector are thoroughly discussed in Section 9.4. Users interested in the low energy response using ACIS
should read carefully the discussion in Section 6.5.1.
Figure 9.16: LETGS zeroth-order effective
area for an on-axis point source for the LETG with HRC-S and ACIS-S detectors. The zeroth-order effective area for the HRC-S/LESF
combination is the same as for the HRC-S. LETG+ACIS-S areas were
computed using an effective area model that included the effects of
contamination build-up extrapolated to the level expected in mid-2013.
Figure 9.17: LETGS 1st-order effective
area for an on-axis point source, with HRC-S and ACIS-S
detector configurations with log (top) and linear (bottom) scaling. Positive and
negative orders are summed. LETG+ACIS-S areas were computed using an
effective area model that included the effects of contamination
build-up extrapolated to the level expected in mid-2013. Note
that the vertical scale of the linear plot has been truncated.
Off-Axis and Extended Sources
Differences in the LETGS effective area for off-axis and
significantly extended sources compared to the on-axis point source
case are primarily determined by the HRMA vignetting function (see
Chapter 4).
High-Order Diffraction Effective Areas
Although the LETG (and HETG) have been designed to reduce complications
from higher-order diffraction by suppressing even orders, many grating
spectra will have overlapping diffraction orders. When ACIS-S is used
as the detector, its intrinsic energy resolution can be used to
separate orders. The situation is more complicated, however, with
HRC-S, which has very little energy resolution. Detector options and
various data analysis techniques are described in
Section 9.4.The relative contribution of higher-order photons with
different detector configurations can be
estimated by inspection of Figures 9.18,
9.19, and 9.20.
As an example, say an observer plans to use the
LETG/HRC-S configuration and wants to determine the intensity of
a line at 45 Å,
but knows that line may be blended with the 3rd order of a 15
Å line which has 10 times the emitted intensity of the 45 Å line. Looking at Figure 9.18, we read the
1st- and 3rd-order curves at mλ = 45 Å and see that the
3rd-order value is about one-tenth the 1st-order value. Multiplying
by 10 (the ratio of the emitted intensities of the 15 and 45 Å lines), we compute that ∼ 50% of the feature at mλ = 45
Å will come from the 15 Å line.
A fuller explanation, with color figures and more examples for
the LETG/HRC-S with line and continuum sources, can be found at
http://cxc.harvard.edu/ciao/threads/hrcsletg_orders/.
Figure 9.18: The combined
LETG/HRC-S effective area, illustrating the relative strengths
of 1st and higher orders, plotted versus mλ (top) and
λ (bottom). Positive and negative orders are summed.
Light shading in top panel marks plate gaps around
mλ = −53 and +64 Å.
See the text for an example of how to determine the relative strength of
overlapping lines from different orders, and http://cxc.harvard.edu/ciao/threads/hrcsletg_orders/
for color figures and further information.
Figure 9.19: The
combined HRMA/LETG/HRC-S/LESF effective areas for 1st and higher
orders. Positive and negative orders are summed.
Figure 9.20: The combined
HRMA/LETG/ACIS-S effective areas for 1st and higher
orders. LETG+ACIS-S areas were computed using an effective area model
that included the effects of contamination build-up extrapolated to
the level expected in mid-2013. Positive and negative orders are
summed.
9.3.6 Background
The LETG is always used in conjunction with a focal-plane detector,
so LETGS spectra will exhibit that detector's intrinsic,
environmental, and cosmic background. The components of the
background of the HRC are discussed in
Section 7.10. The quiescent background rate over the
full detector varies with the solar cycle
(see Figure 9.21) but is always a significant
fraction of the 183 cts s−1 telemetry limit.
Imposition of the HRC-S spectroscopy window reduces the rate to
between 55 and 130 cts s−1, as discussed below.
HRC-S Exposure Windows, Deadtime, and Timing Resolution
To avoid constant telemetry saturation, the HRC-S is operated in a
default, windowed down "edge-blanking" configuration, in which data
from only 6 of the 12 coarse taps in the center of the detector in the
cross-dispersion direction are telemetered (see
Section 7.10.2). The edge-blanking creates an active
detector area slightly less than 10 mm, or 3.4 arcmin, in the
cross-dispersion direction. This window easily accommodates the
(dithered) dispersed spectra of point sources; other windows may be
specified for extended sources or other special cases.
When Solar Maximum occurs around 2013, the
total quiescent background rate using the default configuration
will be near its solar-cycle minimum.As long as the total counting rate is below the 183 cts s−1 telemetry
limit, detector deadtime is negligible (and recorded as a function of
time in the secondary science .dtf files-net exposure time is
recorded in the image FITS file header). During background "flares"
arising from an increased flux of solar wind particles, however, the
background rate may rise above the 183 cts s−1 telemetry limit.
During these times detector deadtime may become significant. Current
data processing algorithms correct for this deadtime with a typical
accuracy of ∼ 10% or better.
Time resolution approaching 16 μsec can be achieved with the HRC if the data rate is below telemetry saturation.
To leave ample margin for telemetry in case of background flares,
a special Imaging Mode (see Section 7.11) is
used for high-resolution
timing observations. This mode utilizes only the
central region of the HRC-S detector and provides a field of view of
approximately 7′ × 30′. However, if telemetry
saturation does take place then the time resolution with HRC-S is
approximately the average time between events.
HRC-S Background Reduction Using Pulse-Height Filtering
The quiescent background rate in HRC-S Level 2 data varies by
more than a factor of two over a solar cycle
(see Figure 9.21).
A "typical" rate of 1.0×10−6 cts s−1 pixel−1
corresponds to
5.76 × 10−5 cts s−1 arcsec−2,
or 0.10 counts per pixel in 100 ks.
The extent of a dispersed line in the LETGS spectrum is
approximately 0.07 Å (9.5 pixels)
and the spectral extraction region is 25 to 85
pixels wide in the cross-dispersion direction; the
typical background rate therefore yields
24 to 81 background counts beneath the line in a 100 ks exposure.
However, the HRC-S pulse height distribution is sufficiently narrow
that a large fraction of pulse-height
space can be excluded from the data to further reduce the background,
which has a relatively broad pulse-height distribution.Data collected or reprocessed in the Archive after June 2010
were processed
with a time-dependent HRC-S gain map, which allows use of
an associated pulse-height filter.
This filter removes more than half of the Level 2 background
at wavelengths longer than 20 Å, with a loss of only
1.25% of X-ray events (see Figure 9.22).
Details, including instructions on how to reprocess older data,
may be found at
http://cxc.harvard.edu/cal/Letg/Hrc_bg.
Note that the HRC-S high voltage was raised in Mar 2012.
The gain map for observations after this date is not as accurate
as before because temporal trends are not yet well established.
The background filter is still safe to use but will be slightly
less effective on these post-HV-change data. The gain map will
be refined as more calibration data become available.
Figure 9.21: Solar cycle and HRC-S background.
Top: Monthly sunspot numbers and with 6-month smoothing; dotted curve
is predicted.
Bottom: Level 1 background rate is for
the LETGS standard spectroscopy region, derived from AR Lac monitoring data.
The "typical" Level 2 (L2) rate is 1.0×10−6 cts s−1 pixel−1,
but this varies
with the solar cycle. A simple model of the HRC-S background rate based
on sunspot number (with a 1-year lag corresponding to the approximate
time for the solar wind to reach the heliopause, where its magnetic
field helps deflect cosmic rays from entering the solar system) is shown
by the solid and dotted curve.
Rates in Figure 9.22
correspond to a Level 2 rate of 1.1×10−6 cts s−1 pixel−1.
Figure 9.22: The Jan 2008 LETG+HRC-S background
rate with and without pulse-height filtering. These Level 2 rates correspond
to 1.1×10−6 cts s−1 pixel−1 (see Figure 9.21).
Data are shown using the standard
`bowtie' spectral extraction region (see Figure 9.14).
X-ray losses from the observed spectrum as a result of the filtering
for 1st order are ∼ 1.25%; losses
will be slightly higher for higher orders.
See http://cxc.harvard.edu/cal/Letg/Hrc_bg for more information.
Relevance for Higher Orders
The mean of the pulse-height distribution increases weakly with photon
energy, such that a factor of two difference in energy corresponds to
a shift in the mean of ∼ 8%.
The mean of 8th order will therefore be about 25% higher than
1st order; the new PI filter removes 1.25% of 1st order at 160 Å,
and about 11% of 8th order (λ = 20 Å, mλ = 160 Å).
Extra filtering of higher orders will have negligible effect
for nearly all analyses, but
should be considered if deliberately studying wavelength
ranges with very heavy higher order contamination.
Relevance for Observation Planning
There are two backgrounds relevant for the LETG/HRC-S. The first is
the Level 1 data event rate over the 3-plate standard spectroscopy
region, which is 55-130 cts s−1 during quiescence
(see Figure 9.21), but
can rise during background `flares' to cause telemetry saturation when
the total (background plus sources) rate reaches 183 cts s−1. The other
is the filtered Level 2 background rate in the extracted spectrum.
A "typical" rate of
1.0×10−6 cts s−1 pixel−1 (see Figure 9.21)
corresponds to ∼ 10-25 counts
(depending on wavelength-see Figure 9.22) in a
0.07 Å spectral bin per 100,000 s integration during quiescence, which
may be used for estimating signal-to-noise (see also the discussion in
Section 9.5.1).
There is a third background rate which will be of interest when high
time resolution (sub-msec) is required, which is the counting rate
before any on-board screening is applied. See
Sections 7.11 and 7.14.1
for more information on the HRC-S Timing Mode.
ACIS-S Background
As with the HRC-S detector, background rates in ACIS are somewhat
higher than expected, but lower than in the HRC. Pulse-height
filtering applied during order separation further reduces the
effective ACIS-S background to extremely low levels when used with
gratings. The reader is directed to Chapter 6 for
further discussion.
9.3.7 Sample Data
Figure 9.23 is a detector image from an 85 ksec
LETGS observation of Capella (ObsID 1248). The central 30 mm of the
dispersion axis and the full extent of the telemetered
cross-dispersion window (9.9 mm) is shown. The image is in angular
grating coordinates (TG_D, TG_R), which have been converted to Å.
The lines radiating from zeroth order above and below the primary
dispersion axis are due to fine-support structure diffraction.
Star-shaped coarse support structure diffraction is seen around zeroth
order. Figure 9.24 is a close-up of the bright Fe
XVII, Fe XVIII, and O VIII lines between ∼ 15-17 Å, in which
many orders of fine support diffracted flux can be seen.
Figure 9.23: HRC-S detector image of LETGS observation of Capella. In
order to illustrate the stretching of the cross-dispersion axis, both
axes are in Å with 1.148 Å/mm; only the central 30 mm of the
central plate is shown. The full extent of the telemetered six-tap
cross-dispersion window is shown and measures 9.9 mm. The areas of
reduced background at top and bottom are due to dither effects.
Star-shaped coarse support structure diffraction is seen around zeroth
order, and "cat's whiskers" fine support structure diffraction is
seen above and below the primary dispersion axis, as well as in the
vertical line through zeroth order.
Figure 9.24: Detail of
Figure 9.23, showing the LETG/HRC-S image of
bright lines in Capella. Both axes are in Å with 1.148 Å/mm.
The Fe XVII lines at ∼ 15 and 17 Å are the brightest in the
LETG Capella spectrum. Faint features above and below the primary
spectrum are due to fine support structure diffraction.
Figure 9.25 is an HRC-S image of a second Capella
observation (ObsID 1420, 30 ksec), showing positive order dispersion.
The increasing cross-dispersion extent of lines at longer wavelengths
is due to astigmatism in the HRMA/LETG system (see also
Figure 9.14). The positive order HRC-S plate gap is
seen at ∼ 63 Å. An extracted Capella spectrum (ObsID 62435, 32
ksec), is shown in Figure 9.26. Positive and
negative order flux has been summed.
Figure 9.25: HRC-S detector image of a Capella observation, showing
positive order dispersion. Both axes are in Å with 1.148
Å/mm. The increasing cross-dispersion extent of lines at longer
wavelengths is due to astigmatism in the HRMA/LETG system. The
positive-order HRC-S plate gap is at ∼ 63 Å.
Figure 9.26: Extracted LETGS spectrum of
Capella with some line identifications (from Brinkman et al. 2000,
ApJ, 530, L111). Many of the lines visible between 40 and 60 Å are
3rd order dispersion of the strong features seen in 1st order in
the uppermost panel.
Figure 9.27 is a zeroth-order image of summed Sirius
AB observations (ObsIDs 1421, 1452, 1459) with a total exposure time
of 23 ksec. The star-shaped pattern is due to coarse support
structure diffraction. Sirius A and B are separated by ∼ 4′′. The flux from Sirius A is due to the small, but non-zero,
UV response of the detector.
Figure 9.27: LETG/HRC-S zeroth order image
of Sirius A and B. The two stars are separated by ∼ 4′′.
Flux from Sirius A is due to the small but finite UV response of the
detector. The star-shaped structure is due to coarse support
diffraction.
9.4 Observation Planning
The purpose of this Section is to provide further information directly
related to planning LETGS observations that is not explicitly
presented in Sections 9.1 and
9.3, and to reiterate the most relevant issues of
instrument performance that should be considered when preparing an
observing proposal.
9.4.1 Detector Choices
The best choice of detector will depend on the
exact application; some considerations are listed below. For further
details concerning the HRC and ACIS detectors, refer to Chapters
7 and 6, respectively. We remind readers
that contamination build-up on the ACIS detector has significantly
reduced the effective area of the LETG+ACIS-S combination for
wavelengths > 20 Å compared to that at launch. In this regard please be sure to read the discussion in Section 6.5.1.
HRC-S
- The HRC-S provides wavelength coverage from 1.2-175 Å
(10-0.07 keV).
- The HRC-S QE is smaller than that of ACIS-S in the
1.2-20 Å ( ∼ 10-0.6 keV) range, but larger at longer wavelengths
(see Figure 9.17).
- The HRC-S provides the highest time resolution at 16 μs
when telemetry saturation is avoided. The probability of avoiding
saturation is significantly improved if only the central plate is
utilized (see Section 7.11).
- The HRC-S suffers from small position non-linearities
which may slightly distort or shift spectral features
(see Section 9.3.2).
- HRC-S has essentially no intrinsic energy resolution and
so overlapping spectral orders cannot be separated.
- The Level 1 HRC-S background count rate is typically 100 cts s−1
in its windowed-down spectroscopic configuration during
quiescence. (See Figure 9.21 for how this varies
over the solar cycle). However, this can rise to exceed the
HRC telemetry saturation limit of 183 cts s−1 during
background "flares". During telemetry saturation, deadtime is
determined to an accuracy of 5-10%. Background flares
can also be filtered out using CIAO or other software tools. These
flares have been seen to affect 10-20% of some observations.
Typical fractions are smaller than this; larger fractions are rare.
If observing a very bright source where telemetry saturation is
a concern,
one can use a smaller than standard region of the detector
(see Section 9.4.2).
- The LESF filter region in principle can be used to obtain a
higher-order spectrum relatively uncontaminated by 1st order for
wavelengths above 75 Å (E < 0.17 keV; see
Figure 9.17). This could be useful either for observing
features in a high order for high spectral resolution that cannot be
easily observed with the HETG/ACIS-S combination, or for providing a
direct observation of higher order contamination in conjunction with
an LETG+HRC-S observation in its nominal configuration. NB: the LESF
configuration has never been used in flight.
Summary
HRC-S is probably the best detector choice
for spectroscopic observations in which one or more of the following
observational goals apply:
-signal longward of 25 Å is of
significant interest (see Figure 9.17);
-the
highest time resolution is required.
HRC-I
- When used with the LETG,
the HRC-I provides wavelength coverage from 1.2-73 Å (10-0.17 keV).
- The raw HRC-I quiescent background event rate per unit area
is lower than that of the HRC-S by about a factor of 4. After
moderate filtering in both detectors, the ratio is about a factor of 2.
This may be important for very weak sources.
- The HRC-I imaging capabilities are similar to those of the HRC-S,
but its single flat detector plate cannot follow the Rowland geometry
as well as the HRC-S. At nominal focus this results in slightly
poorer spectral resolution for wavelengths > 50 Å. In principle,
small focus offsets can be used to optimize the focus of the dispersed
spectrum either within a specific wavelength range, or to average
defocus blurring over the full wavelength range. No simple focus
optimization prescription currently exists; interested readers should
contact the CXC for assistance.
- The details of the LETG+HRC-I effective area have been less
well-studied in general than for the LETG+HRC-S combination. The
polyimide used in the HRC-I UV/Ion shield is about twice as thick as
that used with the HRC-S, resulting in lower transmission at long
wavelengths.
- The HRC-I offers a broad detector in the cross-dispersion
direction and this might be a consideration for observation of sources
with extended components exceeding ∼ 2 arcmin or so. Note,
however, that the Chandra spectrographs are slitless, and the
effective spectral resolution is severely degraded for large
sources (see Figure 9.11).
Summary
HRC-I is possibly the best detector choice for
sources in which signal longward of 73 Å (0.17 keV) is not of
primary interest and accurate effective area knowledge for > 44 Å ( < 0.28 keV) is not a strong concern, and in addition one or more of
the following observational goals apply:
-the source is very weak with interesting spectral features at
wavelengths beyond the limit of the LETG+ACIS-S coverage;
-high resolution timing is not required;
-a larger detector area in the cross-dispersion direction than is
provided by the HRC-S is required.
ACIS-S
- Contamination build-up on the ACIS-S detector has significantly
reduced the effective area of the LETG+ACIS-S combination longward
of ∼ 20 Å since launch (see Section 6.5.1 for
details). ACIS-S provides an effective LETG 1st order wavelength
limit of about 60 Å (0.20 keV) because longward of this
the ACIS-S QE is essentially zero (see
Figures 9.6 and 9.17). ACIS-S is
not as well-calibrated for wavelengths longward of the C edge ( ∼ 44 Å).
- The intrinsic energy resolution of ACIS-S allows for
discrimination between different and otherwise overlapping spectral
orders. For dispersion longward of mλ ∼ 60 Å the LETG+ACIS-S response is dominated by
higher order throughput (Figure 9.17) and ACIS-S can
therefore be useful for observing these higher spectral orders.
- ACIS-S allows several modes of operation (see
Section 6.12) including continuous clocking (CC) if high
time resolution is desired, or to avoid pileup.
- If using the full frame 3.2 s exposure of ACIS-S in TE mode,
photon pileup can be a serious consideration, especially in zeroth order.
Proposers should also be aware that there is a potential for pileup in
bright lines and continua and not assume that, because of dispersion,
the flux is too spread out to be affected. For observations using
Y-offset=+1.5′, 1st order pileup losses in continuum spectra can be
estimated as < rate in counts/frame/dispersion-axis-pixel > times
roughly 3 for FI chips (4 for BI chips). As an example, if the counting
rate of the 1st order spectrum is expected to be 0.01 counts/frame in
a wavelength interval of 0.0275 Å (one pixel wide along the
dispersion axis), about 3% of those events will be lost to pileup
(in FI chips). While the example rate is observed only in very bright
continuum spectra (such as Mkn 421 near 6.5 Å),
pileup can be a concern for bright features in line-dominated
spectra. Some of these events can be recovered by examining
higher order spectra but most pileup events will have "migrated" out of the
standard grade set.
Pileup can affect both the shape of the PSF and the apparent
spectral energy distribution of your source. Pileup may be reduced by
opting for a "sub-array" that reads out a smaller area of the
detector for a decrease in the frame time.
See Section 9.4.2 and also Section 6.15
for details concerning pileup, its effects, and how best to avoid it.
- ACIS-S time resolution is lower than that of HRC and
depends on the control mode adopted. In timed exposure (TE) mode the
full frame exposure is 3.2 s. This is reduced when using a subarray
due to the shorter read-out time for the smaller detector region (see
Section 6.12 for details). Using fewer chips (e.g.,
dropping S0 and S5 because of their negligible effective area for
1st-order photons) may also slightly reduce the frame time.
The highest time resolution possible with ACIS-S (2.85 ms) is obtained
in continuous clocking (CC) mode, but imaging information in the
cross-dispersion direction is lost and the background will be higher
due to the implicit integration over the entire cross-dispersion
column of the detector.
- The energy resolution of the FI chips degrades
as distance increases from the CCD readout because of CTI (see
Section 6.7). The LETG dispersion axis is parallel to
the ACIS-S readout and the spectrum of a point source can be placed
close to the readout such that the energy resolution degradation is no
longer a significant problem; a default SIM-Z offset of −8 mm is
routinely applied to LETG+ACIS-S point source observations. If
observations with extended sources are under consideration, or if for
other reasons a SIM offset is undesirable, the resolution in the
FI CCDs of the ACIS-S array might be a point to consider. From
an LETG perspective, the effects of concern are a degradation of
the CCD energy resolution that is employed for order sorting, grade
migration that can make for difficult calibration of detector quantum
efficiency, and, at longer wavelengths (\mathrel > 50 Å), a loss of
events that have pulse heights below that of the ACIS event lower
level discriminator. These effects render the effective area at
wavelengths longward of the C edge ( ∼ 44 Å) less
well-calibrated than at shorter wavelengths.
- The ACIS-S energy resolution enables removal of the vast
majority of background events in LETG spectra; the effective
ACIS-S background is consequently much lower than that of HRC-S or
HRC-I.
Summary
ACIS-S is possibly the best detector choice
for sources for which signal longward of 25 Å (0.5 keV) is of
little interest and one or more of the following observational goals
apply:
-Particular spectral features of interest occur where the
LETG+ACIS-S effective area is higher than that of LETG+HRC-S
-High time resolution beyond the 3.2 s exposure of TE mode (less if
a subarray is used), or the 2.85 ms of CC mode (if applicable), is not
important
-A low resolution zeroth order spectrum from the S3 BI chip
is of high scientific value, in addition to the dispersed LETG
spectrum
-Order separation is important
-Pileup can either be avoided or mitigated or is not likely to be a
problem.
9.4.2 Other Focal Plane Detector Considerations
Instrument Features and Gaps
Attention should be paid to the locations of instrument edge features
and detector gaps to make sure that spectral features required to
achieve science goals are not compromised by these. Calibration in
the vicinities of these features is generally much more uncertain.
These features
and gaps are listed for both HRMA+LETG+HRC-S and HRMA+LETG+ACIS-S
combinations in Tables 9.3 and
9.4. Note that intrinsic instrumental features, such
as edges, are not affected by dithering and offset pointing (see
below), but chip gaps in ACIS-S and HRC-S plate gaps, as well as the
boundaries between "thick" and "thin" regions of Al that make the
"T" shape of the HRC-S UVIS, are.
Dither
The standard LETG+HRC-S dither amplitude is 20 arcsec (40 arcsec
peak-to-peak; 2 mm in the focal plane or 2.3 Å ) and that of
LETG+ACIS-S is 8 arcsec (16 arcsec peak-to-peak; 0.8 mm or 0.9 Å ),
in both axes. Spectral features in dispersed LETG spectra will
experience the same dither pattern, and allowance for the size of the
dither must be made when considering if spectral features of interest
will encounter detector gaps.In special cases, different dither amplitudes can be specified by the
observer, though it must be kept in mind that detector safety
constraints, such as accumulated dose per pore in the
HRC (see Section 7.13), must not be violated.
SIM-Z Offsets
The SIM permits movement of the focal plane detectors in the
spacecraft z direction (perpendicular to the LETG dispersion axis).
This can be used to better position a source on the ACIS-S or
HRC detectors, for example to accommodate multiple sources, or to
place a source over the HRC-S LESF filter region. The nominal aim
point for the LESF requires a SIM-Z offset of +7 mm.In the case of LETG+ACIS-S, a standard SIM-Z offset of −8 mm is
applied to point source observations, unless otherwise requested
by the observer, in order to place the source closer to the
ACIS readout. In the case of extended sources, this offset might not
be desirable as it could place part of the source off the detector.
The effects of spacecraft dither should always be considered when
choosing a SIM-Z offset.
Offset Pointing
In Feb 2007, as a result of accumulated aimpoint drift,
the default Z-offset when using ACIS-S (with or
without a grating) was changed from 0 to −0.25 arcmin in order to put the aimpoint closer to the best focus (highest
resolution) position. This Z-offset value will be used unless
otherwise requested by the observer.Pointing off-axis in the observatory y axis can be used to change
the wavelengths at which detector gaps occur, or to change the
wavelength corresponding to the ends of the detectors. Examples of
offset pointings are shown in Chapter 3. When choosing
offsets, an increase of +1 arcmin in Y-offset corresponds to a shift of
+3.36 Å in wavelength. As an example, by invoking a +2 arcmin
offset pointing (see Chapter 3 for the convention), the
long-wavelength cut-off of the HRC-S can be extended in the + order
from approximately 176 Å for on-axis pointing to 183 Å. This, of
course, is obtained at the expense of a commensurate shortening of
coverage in the − order.
Offset pointing leads to degradation of the PSF, and consequently the
spectral resolution-see Figure 9.12. For offsets
of 2 arcmin or less this degradation is very small. For offsets of > 4 arcmin, spatial and spectral resolution will be considerably
degraded.
In the case of the LETG+ACIS-S configuration, certain offsets might
be useful, e.g., in order to place features of interest on (or off)
backside-illuminated chips for better low energy quantum efficiency.
Table 9.3 and Figure 9.6
can be used to determine what offsets are required. There is also an
extremely useful visualization tool on the `Checking Your
LETG/ACIS-S Obscat Setup' page
(http://cxc.harvard.edu/cal/Letg/ACIS_params),
which incorporates the latest detector aimpoint calibration
(see Section 6.10).
Four particularly important Y-offsets are the following:
+0.15′ This is the default Y-offset value and
provides the highest possible resolution while avoiding dither
across the node0/node1 boundary on the S3 chip.
+1.50′ This is the most commonly used offset, as it
keeps O K-edge features on the S3 backside chip. Zeroth order is moved
toward the S2 chip by 4.5 mm and changes the S3 coverage to −0.7 to +26.5
Å (after excluding 0.45 Å on each dithered edge of the chip). Spectral
resolution is ∼ 20% worse than with Y-offset=0.
+1.55′ This is the largest offset that can be used and
still have zeroth order ∼ completely on S3
(using the standard 16′′ dither
and an extraction region with 5-pixel (2.5′′) radius)
while allowing an adequate margin
( ∼ 5′′) for errors in target acquisition and aimpoint
scatter. Resolution is very slightly worse than with +1.50′.
+1.91′ This puts zeroth order in the gap between S2 and S3; a
small fraction of zeroth order events will fall on each chip because of
dither. There will be uninterrupted spectral coverage (apart from
chip-edge dither effects around 29 Å) by the BI chips (S1 and S3)
from 0 to 57 Å. Spectral resolution is degraded by ∼ 25% (see
Figure 9.12).
ACIS-S Modes
When using the LETG+ACIS-S configuration, a mode must be selected for
the ACIS detector. The ACIS detector is very flexible but deciding
the best set-up can be complicated. Prospective observers considering
using ACIS-S for the focal plane detector are urged to read
Chapter 6 carefully. The most common modes used
for LETG+ACIS-S observations are those using sub-arrays. The shorter
frame times of subarrays can be a good way to both increase the time
resolution and decrease pileup. Care must be taken when defining
subarrays to make sure that the choice of SIM-Z plus any offset
pointing in the z direction places the source comfortably inside the
subarray. Modes with 256 rows ([1/4] subarray) or fewer are
recommended for observations of point (or small) sources, provided
that the source position is known to within a few arcseconds.
Subarrays permit the use of shorter frame times, and thus less pileup.
As an example, a [1/8] subarray (using 6 chips and with the
standard SIM-Z offset of −8 mm) requires a frame time of 0.7 s (vs 3.2
s for the full array). Frame times as short as 0.6 s can be used with four ACIS-S chips,
or 0.5 s with three chips.
See Section 6.12.1 for further information on ACIS frame times.
Users should always refer to "Checking your LETG/ACIS-S Obscat Setup"
(http://cxc.harvard.edu/cal/Letg/ACIS_params)
for the most current information regarding subarray setups, including
the optimal ACIS Start Row parameter, which slowly drifts with the
telescope aimpoint over time (see Section 6.10).
Optional ACIS-S Chips and Scheduling Flexibility
As described in more detail in
Section 6.20.1, the continuing gradual degradation
of the Chandra thermal environment means that a steadily
increasing fraction of observations are experiencing scheduling
constraints with regard to the allowable exposure time per orbit.
One way to increase the scheduling flexibility of LETG+ACIS-S observations is to use fewer than the full array of 6 CCDs,
which reduces the temperature of the
ACIS electronics and focal plane.
To achieve this,
users may denote some ACIS chips as
"Optional." In cases where thermal limits might otherwise be
breached, Optional chips will be turned off for an observation; this
allows Mission Planning more flexibility when setting up observing
schedules and makes the process more efficient. Problematic
observations with Optional chips are thus less likely to be split into
multiple pieces than they would be if all the chips are required.
Note that chips S0 and S5 have negligible QE for LETG
1st order dispersed photons; those outermost chips are only useful for
collecting higher-order spectra, or perhaps in other very special
circumstances. The web page "Checking your LETG/ACIS-S Obscat
Setup"
(http://cxc.harvard.edu/cal/Letg/ACIS_params)
and the Spectrum Visualizer tool linked there are helpful in
determining which CCDs may be unnecessary.
As of Cycle 13, the S0 chip will turned off in all LETG+ACIS-S observations unless the observer provides a compelling reason for its use.
We also recommend that S5 be turned off or marked as Optional.
HRC-S Windowing
As described in Section 9.3.6, the HRC-S has a
default spectroscopic "window" defined that limits the detector area
from which events are telemetered to the ground. The window is a
rectangle based on coarse position tap boundaries; the default
rectangle comprises the central 6 taps in the cross-dispersion
direction (corresponding to ∼ 9.9 mm) and the whole detector
length in the dispersion direction.
This window can be defined to suit special observational
goals, such as if the source is extended and the width of the readout
region must be increased (with increased risk of telemetry saturation
during background flares). Likewise, a smaller detector region can be used if, for example,
the source is very bright and telemetry saturation is a concern.
In such a case, the number of cross-dispersion taps could be reduced,
since the source only dithers across 2 or 3 taps. There would be
less area for the background extraction region, but with a bright
source this would not be a problem.
One can also specify that a subset of taps along the dispersion
direction be used, particularly if the source spectrum is expected
to be cut off at long wavelengths and higher-order spectra are
not needed. The most commonly used (though still rare)
non-default configuration is simply to use only the central
plate with the standard 6 cross-dispersion taps, usually
referred to as the Imaging Mode.
When considering defining a special HRC-S window, it is reasonable
to assume that the detector background is spatially uniform for
the purposes of computing the total source plus background count rate.
The telemetry capacity of 183 cts s−1 should be kept in mind to
avoid telemetry saturation by using a window that is too big.
9.4.3 General Considerations
Complications from Other Sources
Field sources coincident with the target source dispersed spectrum
should be avoided. While some flexibility in roll angle of order
several arcminutes can often be accomodated in observation execution,
this avoidance is most rigorously accomplished by imposing a roll
angle constraint (see below). Note that it is also desirable to
retain a pristine region either side of the dispersed spectrum to
enable an accurate estimation of the background within the spectral
extraction window.In some circumstances, photons from bright sources outside of the
direct field of view of the HRC or ACIS might be dispersed by
the LETG onto the detector.
Particular attention should be paid to optically-bright and UV-bright
sources, even if these are some distance off-axis. The ACIS-S and
HRC-S filters are much more transparent to optical and UV light than are
those of HRC-I and ACIS-I (the HRC-S central "T" segment is
closer in performance to that of HRC-I, but has completely different
thicknesses of polyimide and Al layers). As an example, an
observation of the bright A0 V star Vega (V=0.03) in one of the
outer HRC-S UVIS segments gave a count rate of about 475
count s−1.
The energy resolution of the ACIS-S detector enables removal by
filtering of all photons except those in a fairly narrow wavelength or
energy range corresponding to the wavelength or energy of photons in a
spectrum dispersed by the LETG. This means that contamination of the
dispersed spectrum by, for example, the zeroth order or dispersed
spectrum of other sources might not be a significant problem.
However, a much better solution to problems of source contamination
is, if it is possible within other observation constraints, to choose
a roll angle (Chapter 3) that avoids the source
contamination issue.
Roll Angle Considerations
Roll angle constraints can be specified to avoid contamination by
off-axis sources, as described above, or to help separate the
dispersed spectra of multiple sources in the cross-dispersion
direction. The maximum separation between dispersed LETG spectra of
two sources is obviously one that places the sources in a line
perpendicular to the dispersion axis.Owing to spacecraft thermal degradation and increasing difficulty
in scheduling constrained observations, proposers are reminded that
only a very limited number of constrained observations can be
accomodated. Technical justification for requested constraints must
be provided. It is also important to remember that roll angle
constraints will also impose restrictions on the dates of target
availability as discussed in Chapter 3. Exact
restrictions depend on celestial position. Their impact can be
examined using the observation visualizer tool, downloadable from
the CIAO home page
at http://cxc.harvard.edu/ciao/.
High Order Throughput
It is expected that the majority of observations with the LETG will
make use of the HRC-S as the readout detector because of its
wavelength coverage and high quantum efficiency at long wavelengths.
Since the HRC-S has very little energy resolution, the overlapping of
spectral orders
could be a significant
issue and prospective observers should assess the degree to which
their observation might be affected. The following list summarizes
some considerations:
Scientific Utility: Higher spectral orders provide higher
spectral resolving power than the 1st order spectrum by the approximate
factor of the order number m. For observations in which features
are expected to be seen in higher orders, this capability could be
scientifically useful.
LESF:
The LESF (the region of thicker Al coating on
the HRC-S UVIS) is untested in flight, but could be useful for
obtaining a spectrum containing mostly higher order flux.
Source Spectrum: For some sources higher orders will contain
very little flux and will not be an issue. Typical examples are hot
white dwarfs or relatively cool stellar coronae with T ∼ 106 K.
Sources whose spectra are fairly weak in the region where the
effective area of the LETG+HRC-S is highest ( ∼ 8-20 Å ;
1.5-0.6 keV) but gain in strength toward longer wavelengths will
also be less affected by higher order throughput. Typical
examples are blackbody-type spectra with temperatures T ∼ 106 K
or less, such as might characterize novae or isolated neutron stars.
Estimates: Figure 9.18 can be used to
estimate high order contamination. PIMMS can be used for gross
estimates of higher order count rates; the PIMMS higher order
calculation uses an effective area curve for orders m > 1 combined.
Instrumental Capabilities: Order separation is straightforward
with ACIS-S. With HRC-S orders cannot be separated.
Spectral Modeling and Higher Orders:
Unlike ACIS-S, the HRC-S does not have enough energy resolution
to allow order sorting of LETG spectra.
However, by folding a spectral model through an LETG+HRC-S instrument
response that includes all significant higher orders (generally ≤ 10), the whole spectrum can be modeled at once. The capability to
generate and simultaneously utilize response matrices for multiple orders
(which can be created for plus and minus orders 1-25) is available within
Sherpa/CIAO, and these response matrices can also be used with
other spectral analysis software such as XSPEC.
Note that the response matrices do not include the small-scale
wavelength distortions discussed in
Section 9.3.2, and hence care must be taken when
analyzing some details of line-dominated spectra, particularly line profiles.
ISM Absorption
The long wavelength cutoff of the LETGS in tandem with the HRC-S
detector of ∼ 175 Å (which can be extended with offset pointing
as described in Section 9.4.2), reaches well
into the extreme ultraviolet (EUV). In this wavelength regime, the
spectra of even very nearby sources with relatively low ISM absorbing
columns can be appreciably attenuated by H and He bound-free
photoionizing transitions. Therefore observers should be aware that
the effective long wavelength cutoff for anything but the nearest
sources ( ∼ 100 parsec or less) will probably be determined by ISM
absorption. It is also important to remember that neutral and
once-ionized He can dominate the ISM absorption cross-section in the
44-200 Å (0.28-0.062 keV) range, and consideration of the neutral H
absorption alone is generally not sufficient. Shortward of the C edge
near 44 Å (0.28 keV), metals become the dominant absorbers. For
illustration, the ISM transmittance for a "typical" mixture of
neutral and ionized H and He with H:He:He+ ratios of 1 : 0.1 : 0.01
is shown in Figure 9.28 for the 5-200 Å range
with different values of the neutral hydrogen column.
Figure 9.28: The ISM transmittance
within the LETGS bandpass for different values of neutral hydrogen
column density 1017-1022 cm2.
The CXC web page has a tool
Colden (http://cxc.harvard.edu/toolkit/colden.jsp) that
provides the total galactic neutral hydrogen column for a given
line-of-sight. The Ahelp page for Colden is located at
http://cxc.harvard.edu/ciao/ahelp/colden.html.
An IDL routine from the PINTofALE data analysis package for computing
the ISM optical depth is available from
http://hea-www.harvard.edu/PINTofALE/pro/ismtau.pro.
9.5 Technical Feasibility
Proposers should always be aware of possible limitations in the
physical models and methods they are using for observation planning
purposes. For example, older XSPEC versions might not include ISM
absorption edges or spectral models at the high resolutions
appropriate for Chandra grating observations. Available optically
thin, collision-dominated plasma radiative loss models have also
generally only been tested in any detail for strong lines of abundant
elements. Some prominent transitions in Fe ions with n=2
("L-shell") and n=3 ("M-shell") ground states are not yet
well-represented by some models. The spectral region 25-75 Å (0.5-0.17 keV) still remains largely unexplored, and both total
radiative loss and predicted strengths of lines in this region are
more uncertain than at shorter wavelengths.Some additional technical
limitations in MARX modeling of LETG+HRC-S spectra are detailed below.
9.5.1 Simple Calculation of Exposure Times and Signal-to-Noise
Ratio for Line and Continuum Sources
There is a discussion in Chapter 8 (HETG),
Section 8.5.4, concerning the detection of an isolated
emission line or absorption line that is also relevant to the
LETG+HRC-S combination. This discussion is
based on line equivalent width, which is appropriate for broadened
lines and continuum features but which is more difficult to apply to
simple modeled estimates of expected line fluxes. Additional formulae
which are simple to apply are presented below. The units are Å rather than keV, Å being a much more natural unit of choice for
dispersed spectra, and especially for the LETG range.
Emission Line Sources
The source signal S in a bin is the difference between the total
counts and the background counts B. The estimated standard
deviation of the source counts S in a spectral bin is given by
Poisson statistics as:
Here we have made the important assumption that there is effectively
no additional uncertainty in the estimation of the background B.
Such an assumption may only be valid if, for example, the detector
region used to estimate the background within the spectrum extraction
window is much larger than the window itself.Spectrometer count rates for emission features are given by
where sl is the source count rate in the resolution element
centered at λ, in cts s−1, Aeff is the effective area in
cm2, and Fl is the source flux at the telescope aperture,
in photons/cm2/s. For Aeff, it is reasonable to use the total
area obtained from the sum of + and − orders as illustrated in
Figure 9.17. Raw source counts are estimated by
multiplying this instrument count rate by an integration time.Using Equations 9.3 and 9.4,
the signal-to-noise ratio for an integration time t is then
where b is the background count rate within the spectrum
extraction window (i.e. "underneath" the spectrum) in the same
resolution element centered at λ, in cts s−1.
Equation 9.5 provides the expected relation that is
valid in the limit where the background count rate b is small
compared with the source count rate sl, that the signal-to-noise
ratio scales with the square root of the exposure time.The exposure time required to achieve a given signal-to-noise ratio is
then provided by inversion of Equation 9.5,
In order to make the exposure time estimate one needs to determine the
background count rate, b. Since the spectrometer does not have
infinite resolution, the flux from an otherwise narrow spectral line
is spread over a typical line width, wl. For LETG+HRC-S spectra,
a good estimate for wl is 0.07Å. This is somewhat larger than the
FWHM value of 0.05Å listed in Table 9.1, but is
more appropriate for calculations of signal-to-noise because it
includes more of the line flux. For lines that are additionally
broadened, simply use a value of wl that covers the region under
the feature of interest. The background rate b is then given by the
quantity b=wlb′, where b′ is the background rate in units of
cts/Å /s. Background spectra for LETG+HRC-S from which one can
readily estimate b are illustrated in Figure 9.22
Two scales are shown, one corresponding to b′ and one corresponding
to b where a width wl=0.07 Å was assumed. Note the y-axis
units are per 10 ks.
Using the signal count rate sl, provided by the product of source
flux (at the telescope aperture) and effective area as stated in
Equation 9.4, we then obtain the two equations for
the signal-to-noise ratio S/σS resulting from an exposure time
t,
and for the exposure time t required for a signal-to-noise ratio
S/σS
These simple equations, which include the effects of instrumental
background, can also be easily applied to observations of lines on top
of continua, as well as to situations in which features of interest
lie on top of higher (or lower) spectral orders (HRC). In these
cases, the continuum or higher order flux acts as an additional
background term-the count rate/Å due to these additional terms is
simply added to b′.
Continuum Sources
Model fluxes for continuum sources can be expressed as flux densities
in units of photons/cm2/s/Å . To compute instrument count rates
sc from a continuum source spectrum, the Aeff function and
spectrum must be partitioned with some bin size w, large enough to
give adequate count rates. The product of the source spectrum with
the Aeff function is then summed over some wavelength region of
interest. Equation 9.4 becomes the sum
|
sc(λ) = |
N ∑
j=1
|
Fc(λj) Aeff(λj) w |
| (9.9) |
where Fc is the model source flux in photons/cm2/s/Å ,
Aeff(λj) is the effective area of the jth bin in
cm2. The region of interest spans bins 1 through N, and w is
the bin width in Å. In using this formula for planning purposes,
proposers must choose a spectral bin width that will demonstrate the
viability of the program proposed. For fairly narrow spectral ranges
in which Aeff is nearly constant, the sum over 1-N reduces to
|
sc(λ) = Fc(λj) Aeff(λj) Nw |
| (9.10) |
In this case one can of course simply chose a new bin size w′=Nw.
The difference between the continuum and the emission line case above
lies in the units of Fc, which is a flux density. The
equations corresponding to the line source
Equations 9.7 and 9.8 are,
for the signal-to-noise resulting from an exposure time t
and for the exposure time t required for a signal-to-noise
ratio S/σS
Note also in the above equations that the background b′ is in units
of counts/Å/s.
PIMMS for Rough Planning Purposes
PIMMS is best suited to performing rough estimates of total or zeroth
order count rates, or estimating the fraction of zeroth order events that
would be piled up. Some degree of caution should accompany PIMMS calculations of detailed quantities such as count rates within narrow
spectral bands using the Raymond-Smith model. For example, line
positions and intensities in this model were only designed to
represent total radiative loss and do not stand up to high resolution
scrutiny. Calculations using power-law and featureless continua are not
prone to such difficulties, but are susceptible to other PIMMS limitations. One particular limitation concerns the background model
for HRC-S, which in PIMMS is assumed to be a
single average number per spectral resolution element of 20 counts/100 ks.
This approximation overestimates the background at medium
energies, and underestimates the background at lower and higher energies; see
Figure 9.22.
MARX Simulations
The best tool for simulating LETG observations, including cases
where there are multiple targets in the field of view,
is the MARX ray trace simulator, which permits study of
any of the available Chandra instrument combinations.
For cases requiring higher fidelity modeling of the PSF,
simulations can be performed by first simulating the response of the
HRMA using ChaRT
(http://cxc.harvard.edu/chart)
and then feeding those ray trace results
into MARX to simulate the LETG and detector responses.MARX has an important limitation for LETG+HRC-S observations in that
instrument, sky, and particle backgrounds are almost always significant
(see Section 9.3.6 and Figure 9.22)
but are not directly
included and need to be simulated or otherwise accounted
for by the user. Background can be simulated by approximating it as a
flat field and adding this simulation to that of the source
(see http://space.mit.edu/CXC/MARX/).
Another way of simulating background is to scale the background
in Figure 9.22 after adjusting for solar-cycle variations
in the background rate.
Figure 9.29: This figure shows the extracted 1st order spectrum
for an 80 ksec observation of the AGN NGC5548. The input spectrum
consists of a power-law plus a "warm" absorber (shown in the top
panel). The simulated spectrum (bottom panel) has been corrected for
the instrument response to give the flux from the source.
Figure 9.30: MARX simulation of spectra showing the effect of source
extent. The panels show (a) computed input spectrum, (b) a MARX output of LETG spectrum of a point source, (c) the same as (b) except
that the source is a disc of uniform brightness with radius of 4",
and (d) the same but with radius of 8". See
Figure 9.11 and Section 9.3.3 for a
discussion of extended sources.
9.6 References
Further information on LETGS performance and calibration,
along with relevant Chandra Newsletter articles,
can be found on the
http://cxc.harvard.edu/cal/Letg/
off the Instruments & Calibration website (http://cxc.harvard.edu/cal/).
Last modified:12/13/12