ACIS
ACIS DOSE Registered-Photon-Map
The steps we took to compute the dose map are;
- Level 1 Event files for a specified month are obtained from archive.
- Image data including I2, I3, S2, S3 CCDs are extracted from all event files.
- All the extracted image data were merged to create a month long exposure map for the month.
- The exposure map is opened with ds9, and check a distribution of count rates against energy. From this, estimate the upper threshold value. Any events beyond this upper threshold are assumed erroneous events such as bad pixels.
- Using this upper threshold, the data is filtered, and create a cleaned exposure map for the month.
- The exposure map from each month from the Sep 1999 is added up to create a cumulative exposure map for each month.
- Using fimgstatistic, we compute count rate statistics for each CCDs.
- For observations with high data drop rates (e.g., Crab nebula, Cas A), we corrected the observations by adding events.
Please check more detail plots at Telemetered Photon Dose Trend page.
Statistics: # IMAGE NPIX MEAN RMS MIN MAX ACIS_aug24 6004901 4.729 7.418 0.0 4825 I2 node 0 262654 4.630018 2.560901 0.0 106.0 I2 node 1 262654 4.849808 2.687299 0.0 163.0 I2 node 2 262654 4.708644 2.595301 0.0 186.0 I2 node 3 262654 4.821972 4.891636 0.0 1930.0 I3 node 0 262654 5.339767 2.820847 0.0 145.0 I3 node 1 262654 5.326275 2.810606 0.0 187.0 I3 node 2 262654 5.074337 2.672184 0.0 162.0 I3 node 3 262654 4.982269 9.182171 0.0 4505.0 S2 node 0 262654 4.973231 3.460263 0.0 651.0 S2 node 1 262654 6.035477 5.316365 0.0 309.0 S2 node 2 262654 7.697139 13.117512 0.0 4825.0 S2 node 3 262654 7.366132 9.360084 0.0 571.0 S3 node 0 262654 8.656166 10.905992 0.0 228.0 S3 node 1 262654 8.466130 7.306837 0.0 107.0 S3 node 2 262654 9.816222 9.491399 0.0 100.0 S3 node 3 262654 8.966149 9.342850 0.0 154.0
Statistics: IMAGE NPIX MEAN RMS MIN MAX ACIS_total 6004901 2700.467 3423.325 0.0 158232 I2 node 0 262654 2347.482311 476.123289 500.0 15263.0 I2 node 1 262654 2473.769868 689.848593 512.0 156226.0 I2 node 2 262654 2501.358488 530.611566 538.0 16716.0 I2 node 3 262654 2506.008057 649.384886 498.0 35702.0 I3 node 0 262654 2698.938935 665.431527 500.0 14903.0 I3 node 1 262654 2780.861863 1752.897221 519.0 56018.0 I3 node 2 262654 2490.225822 466.420737 492.0 15164.0 I3 node 3 262654 2469.105518 503.101165 465.0 35854.0 S2 node 0 262654 3149.294707 509.166742 1700.0 22579.0 S2 node 1 262654 3344.152218 762.445797 1878.0 19004.0 S2 node 2 262654 3708.585834 767.077022 2292.0 33049.0 S2 node 3 262654 3669.038149 622.200386 2016.0 83113.0 S3 node 0 262654 5575.480415 3006.036195 2452.0 55034.0 S3 node 1 262654 6796.501653 2392.996737 0.0 76591.0 S3 node 2 262654 5531.347706 1369.701635 2587.0 27552.0 S3 node 3 262654 4344.752949 774.209377 2623.0 26677.0
|
|
|
|
| May 2024 | Feb 2024 | Nov 2023 | Aug 2023 |
|---|
The Mean Detrended CTI
We report CTIs with a refined data definition. CTIs were computed for the temperature dependency corrected data. Please see CTI page for detailed explanation. CTI's are computed for Mn K alpha, and defined as slope/intercept x10^4 of row # vs ADU. Data file: here
Imaging CCDs
Spectral CCDs
Backside CCDs
Focal Plane Temperature
Aug 2024 Focal Temperature
| The Mean (max) FPT: | |
|---|---|
| -107.53 | +/- 7.69 C |
| Mean Width: | |
| 0.8 | +/- 0.58 days |
Averaged Focal Plane Temperature
We are using 10 period moving averages to show trends of peak temperatures and peak widths. Note, the gaps in the width plot are due to missing/corrupted data.
Focal Plane Temperature, Sun Angle and Altitude
Bad Pixels
The plots below were generated with a new warm pixel finding script. Please see Acis Bad Pixel Page for details.
Front Side CCDs
Back Side CCD (CCD5)
Science Instrument Background Rates
| Name | Low (keV) | High(KeV) | Description |
|---|---|---|---|
| SSoft | 0.00 | 0.50 | Super soft photons |
| Soft | 0.50 | 1.00 | Soft photons |
| Med | 1.00 | 3.00 | Moderate energy photons |
| Hard | 3.00 | 5.00 | Hard Photons |
| Harder | 5.00 | 10.00 | Very Hard photons |
| Hardest | 10.00 | Beyond 10 keV |

HRC
DOSE of Central 4K Pore-Pairs
Please refer to Maximum Dose Trends for more details.
IMAGE NPIX MEAN STDDEV MIN MAX HRCI_08_2024.fits 16777216 0.014 0.122 0.000 8.000
IMAGE NPIX MEAN STDDEV MIN MAX HRCI_08_1999_08_2024.fits 16777216 na na na na
IMAGE NPIX MEAN STDDEV MIN MAX HRCS_08_2024.fits 16777216 0.140 0.470 0.000 14.000
IMAGE NPIX MEAN STDDEV MIN MAX HRCS_08_1999_08_2024.fits 16777216 na na na na
|
|
Max dose trend plots corrected for events that "pile-up"
in the center of the taps due to bad position information.
|
|
|
|
|
| May 2024 | Feb 2024 | Nov 2023 | Aug 2023 |
|---|
|
|
|
|
| May 2024 | Feb 2024 | Nov 2023 | Aug 2023 |
|---|
HRMA Focus
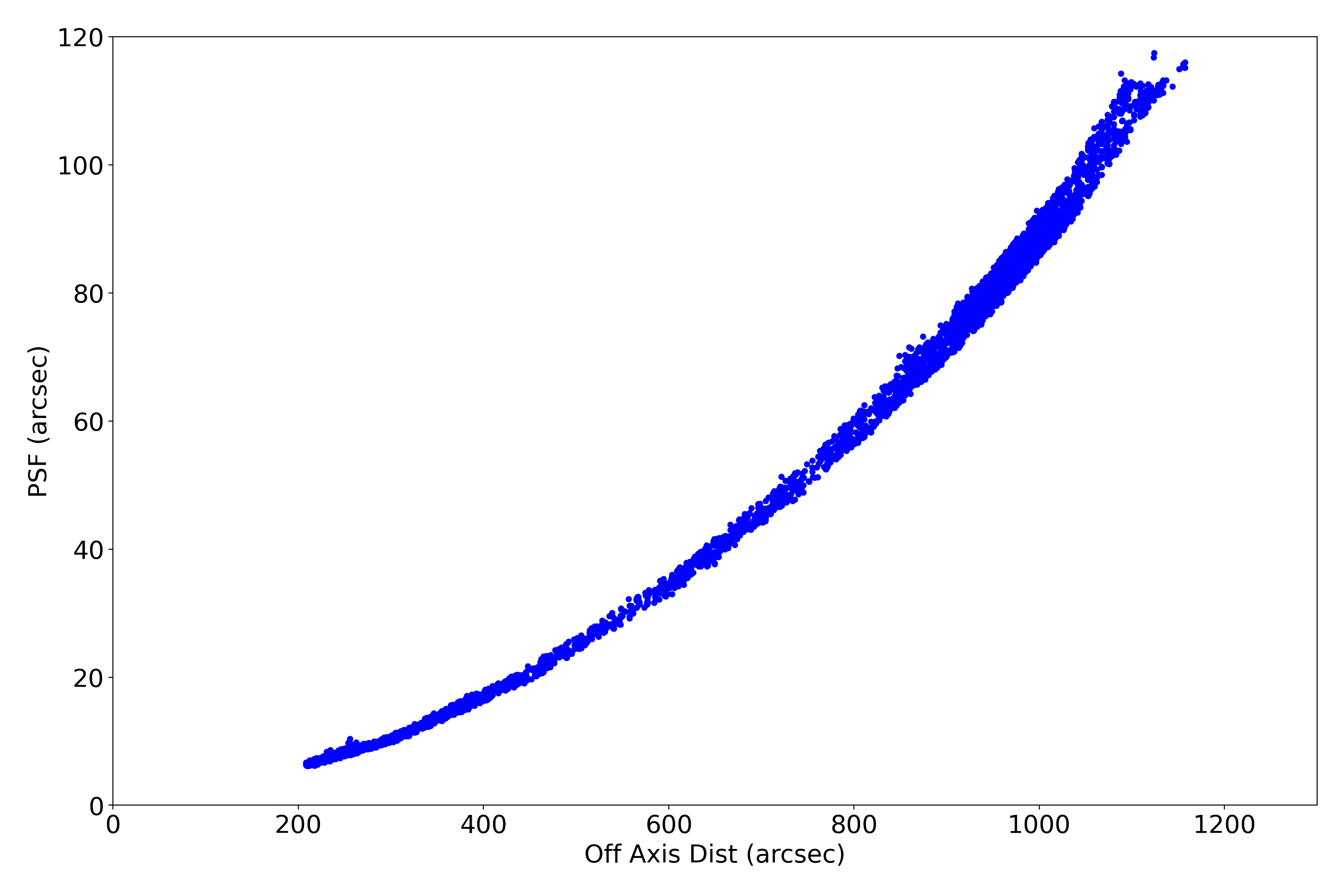
Plots below show various characteristics of detected imaging sources. Standard level 2 data products (*src2.fits) are used. Only observations with focus (sim_x) within 0.01 mm of nominal value for given SI configuration are used. Sources are also filtered for strength (SNR > 15).
| XY | PSF | Roundness | EE Radius | SNR | Rotation | Rotation2 | |
|---|---|---|---|---|---|---|---|
| ACIS I | ![]() |
![]() |
![]() |
![]() |
![]() |
![]() |
![]() |
| ACIS S | ![]() |
![]() |
![]() |
![]() |
![]() |
![]() |
![]() |
| HRC I | ![]() |
![]() |
![]() |
![]() |
![]() |
![]() |
![]() |
| HRC S | ![]() |
![]() |
![]() |
![]() |
![]() |
![]() |
![]() |
Gratings
Grating Trends/Focus
We plot the width of the zero order streak of ACIS/HETG observations and the width of the zero order image for HRC/LETG observations of point sources. No significant defocusing trend is seen at this time. See Gratings Trends pages.
PCAD
ACA Trending
| ACIS |
|
|
|
|
|---|---|---|---|---|
|
|
| ||
| HRCI |
|
|
|
|
| HRCI |
|
|
|
|
Gyro Bias Drift
Radiation History
Radiation Count Rates of Aug 2024
Sun Spot History (See:NOAA Page)
Trending
Quarterly Trends
- HRC Temperature
| Previous Quarter | |||||||
| MSID | MEAN | RMS | DELTA/YR | DELTA/YR/YR | UNITS | DESCRIPTION | |
| 2ceahvpt | 0.001 | 5.568e-04 | (2.79+/-0.01)e2 | 0.14 +/- 0.41 | K | CEA RADIATOR TEMPERATURE AT CENTER | |
|---|---|---|---|---|---|---|---|
| 2chtrpzt | 7.657e-04 | 5.485e-04 | (2.76+/-0.01)e2 | 0.15 +/- 0.40 | K | CENTRAL ELECTRONICS BOX TEMP | |
| 2condmxt | 0.001 | 8.217e-04 | (2.70+/-0.02)e2 | -0.87 +/- 0.54 | K | CONDUIT -X FACE TEMPERATURE | |
| 2dcentrt | 7.479e-04 | 2.794e-04 | (2.74+/-0.01)e2 | 0.17 +/- 0.21 | K | DETECTOR HOUSING TEMP 2 | |
| 2dtstatt | 0.003 | 4.523e-04 | (2.70+/-0.01)e2 | 0.07 +/- 0.32 | K | DETECTOR HOUSING TEMP 1 | |
| 2fhtrmzt | 0.006 | 0.001 | (2.65+/-0.03)e2 | -1.01 +/- 0.91 | K | FRONT END ELECTRONICS BOX TEMPERATURE | |
| 2fradpyt | 0.005 | 0.001 | (2.63+/-0.03)e2 | -1.18 +/- 0.88 | K | FRONT END ASSEMBLY +Y AT RADIATOR CENTER TEMP | |
| 2pmt1t | -0.003 | 6.786e-04 | (2.83+/-0.02)e2 | 0.12 +/- 0.42 | K | PMT 1 TEMPERATURE | |
| 2pmt2t | -0.002 | 6.911e-04 | (2.83+/-0.02)e2 | 0.21 +/- 0.43 | K | PMT 2 TEMPERATURE | |
| 2uvlspxt | -6.398e-04 | 4.948e-04 | (2.75+/-0.01)e2 | 0.36 +/- 0.36 | K | UV LIGHT SHIELD NEXT TO SNOUT TEMP | |
- HRC HK
| Previous Quarter | |||||||
| MSID | MEAN | RMS | DELTA/YR | DELTA/YR/YR | UNITS | DESCRIPTION | |
| 2fe00atm | -3.621e-04 | 0.006 | -1.20 +/- 3.15 | 0.56 +/- 0.12 | C | Front end temperature | |
|---|---|---|---|---|---|---|---|
| 2fepratm | on | 0.075 | 0.004 | 25.19 +/- 1.89 | -2.48 +/- 1.79 | C | FE temp card temperature | off | 3.976e-04 | 0.005 | -1.11 +/- 3.12 | 0.57 +/- 0.11 |
| 2imhvatm | on | 0.046 | 0.003 | 31.71 +/- 1.25 | -1.31 +/- 1.13 | C | Imaging det HVPS temperature | off | 0.008 | 0.003 | 16.31 +/- 1.64 | -0.02 +/- 0.12 |
| 2iminatm | on | 0.064 | 0.003 | 20.52 +/- 1.59 | -1.25 +/- 1.57 | C | Imaging det temperature | off | 0.002 | 0.001 | 1.29 +/- 0.67 | 0.27 +/- 0.06 |
| 2lvplatm | on | 0.036 | 0.003 | 28.00 +/- 1.17 | -1.19 +/- 1.10 | C | LVPS plate temperature | off | -0.003 | 0.003 | 10.20 +/- 1.51 | 0.14 +/- 0.09 |
| 2prbscr | on | 0.001 | 1.075e-04 | 1.76 +/- 0.05 | -0.03 +/- 0.05 | AMP | Primary bus current | off | 7.708e-06 | 2.818e-05 | 1.71 +/- 0.02 | (8.30+/-152.50)e-5 |
| 2prbsvl | 9.826e-04 | 2.024e-04 | 26.76 +/- 0.12 | -0.04 +/- 0.01 | V | Primary bus voltage | |
| 2smtratm | on | 2.481e-13 | 2.768e-09 | 5.94 +/- 0.00 | (2.46+/-13.58)e-13 | C | Selected motor temperature | off | -3.541e-15 | 999.000 | 5.66 +/- 0.00 | (2.67+/-1.54)e-14 |
| 2sphvatm | on | -0.002 | 0.003 | 31.48 +/- 1.19 | -0.02 +/- 1.24 | C | Spect det HVPS temperature | off | -0.018 | 0.003 | 16.55 +/- 1.78 | 0.31 +/- 0.08 |
| 2spinatm | on | 0.054 | 0.003 | 19.08 +/- 1.49 | -1.14 +/- 1.53 | C | Spect det temperature | off | -0.001 | 0.001 | 3.46 +/- 0.78 | 0.09 +/- 0.05 |
- PCAD Temperature
| Previous Quarter | |||||||
| MSID | MEAN | RMS | DELTA/YR | DELTA/YR/YR | UNITS | DESCRIPTION | |
| aacccdpt | 5.140e-05 | 7.863e-04 | (2.65+/-0.02)e2 | 0.47 +/- 0.47 | K | AC CCD TEMP (PRI) | |
|---|---|---|---|---|---|---|---|
| aacccdrt | 1.529e-04 | 8.473e-04 | (3.09+/-0.02)e2 | 0.57 +/- 0.51 | K | AC CCD TEMP (RDNT) | |
| aach1t | 2.078e-04 | 8.645e-04 | (3.06+/-0.02)e2 | 0.46 +/- 0.52 | K | AC HOUSING TEMP (ACH1) | |
| aach2t | 2.692e-04 | 8.665e-04 | (3.06+/-0.02)e2 | 0.54 +/- 0.52 | K | AC HOUSING TEMP (ACH2) | |
Spacecraft Motions
TSC and FA Cummulative Moter Distance
HETG and LETG Cummulative Insertion Counts
HETG/LETG Insertion/Retraction Angle
Reaction Wheel Rotations



























