ACIS
ACIS DOSE Registered-Photon-Map
The steps we took to compute the dose map are;
- Level 1 Event files for a specified month are obtained from archive.
- Image data including I2, I3, S2, S3 CCDs are extracted from all event files.
- All the extracted image data were merged to create a month long exposure map for the month.
- The exposure map is opened with ds9, and check a distribution of count rates against energy. From this, estimate the upper threshold value. Any events beyond this upper threshold are assumed erroneous events such as bad pixels.
- Using this upper threshold, the data is filtered, and create a cleaned exposure map for the month.
- The exposure map from each month from the Sep 1999 is added up to create a cumulative exposure map for each month.
- Using fimgstatistic, we compute count rate statistics for each CCDs.
- For observations with high data drop rates (e.g., Crab nebula, Cas A), we corrected the observations by adding events.
Please check more detail plots at Telemetered Photon Dose Trend page.
Statistics: # IMAGE NPIX MEAN RMS MIN MAX ACIS_feb26 6004901 7.234 34.682 0.0 4415 I2 node 0 262654 5.211094 2.706286 0.0 49.0 I2 node 1 262654 6.436275 4.057048 0.0 1124.0 I2 node 2 262654 7.989153 5.183060 0.0 61.0 I2 node 3 262654 11.338699 11.951770 0.0 449.0 I3 node 0 262654 20.748101 22.107357 0.0 573.0 I3 node 1 262654 10.785309 7.377105 0.0 87.0 I3 node 2 262654 6.939995 3.531565 0.0 47.0 I3 node 3 262654 5.906988 2.928906 0.0 294.0 S2 node 0 262654 5.351624 9.096829 0.0 619.0 S2 node 1 262654 6.600825 12.977777 0.0 692.0 S2 node 2 262654 9.675509 23.307605 0.0 696.0 S2 node 3 262654 8.500906 18.564627 0.0 751.0 S3 node 0 262654 24.183372 152.630264 0.0 4415.0 S3 node 1 262654 7.071689 12.659053 0.0 304.0 S3 node 2 262654 9.927275 23.007476 0.0 317.0 S3 node 3 262654 9.257170 22.903198 0.0 303.0
Statistics: IMAGE NPIX MEAN RMS MIN MAX ACIS_total 6004901 2773.046 3491.790 0.0 169725 I2 node 0 262654 2405.102659 489.444101 512.0 16210.0 I2 node 1 262654 2539.439603 716.894655 526.0 167719.0 I2 node 2 262654 2570.637330 550.432869 551.0 18023.0 I2 node 3 262654 2582.721407 681.010885 509.0 37811.0 I3 node 0 262654 2810.833077 725.837358 508.0 17571.0 I3 node 1 262654 2867.001498 1763.608073 534.0 56110.0 I3 node 2 262654 2565.910054 483.629602 504.0 15716.0 I3 node 3 262654 2538.753203 519.192992 483.0 37655.0 S2 node 0 262654 3231.031736 522.603239 1739.0 22700.0 S2 node 1 262654 3433.437675 786.318592 1915.0 22732.0 S2 node 2 262654 3810.626532 792.177295 2328.0 34437.0 S2 node 3 262654 3766.873158 654.076137 2047.0 89837.0 S3 node 0 262654 5736.997710 3139.547520 2518.0 56532.0 S3 node 1 262654 6942.490998 2416.638722 0.0 83602.0 S3 node 2 262654 5679.182820 1395.681836 2672.0 27825.0 S3 node 3 262654 4469.293655 794.479312 2682.0 26938.0
|
|
|
|
| Nov 2025 | Aug 2025 | May 2025 | Feb 2025 |
|---|
The Mean Detrended CTI
We report CTIs with a refined data definition. CTIs were computed for the temperature dependency corrected data. Please see CTI page for detailed explanation. CTI's are computed for Mn K alpha, and defined as slope/intercept x10^4 of row # vs ADU. Data file: here
Imaging CCDs
Spectral CCDs
Backside CCDs
Focal Plane Temperature
Feb 2026 Focal Temperature
| The Mean (max) FPT: | |
|---|---|
| -107.53 | +/- 7.69 C |
| Mean Width: | |
| 0.8 | +/- 0.58 days |
Averaged Focal Plane Temperature
We are using 10 period moving averages to show trends of peak temperatures and peak widths. Note, the gaps in the width plot are due to missing/corrupted data.
Focal Plane Temperature, Sun Angle and Altitude
Bad Pixels
The plots below were generated with a new warm pixel finding script. Please see Acis Bad Pixel Page for details.
Front Side CCDs
Back Side CCD (CCD5)
Science Instrument Background Rates
| Name | Low (keV) | High(KeV) | Description |
|---|---|---|---|
| SSoft | 0.00 | 0.50 | Super soft photons |
| Soft | 0.50 | 1.00 | Soft photons |
| Med | 1.00 | 3.00 | Moderate energy photons |
| Hard | 3.00 | 5.00 | Hard Photons |
| Harder | 5.00 | 10.00 | Very Hard photons |
| Hardest | 10.00 | Beyond 10 keV |

HRC
DOSE of Central 4K Pore-Pairs
Please refer to Maximum Dose Trends for more details.
IMAGE NPIX MEAN STDDEV MIN MAX HRCI_02_2026.fits 16777216 0.019 0.183 0.000 19.000
IMAGE NPIX MEAN STDDEV MIN MAX HRCI_08_1999_02_2026.fits 16777216 na na na na
No Data
IMAGE NPIX MEAN STDDEV MIN MAX HRCS_08_1999_02_2026.fits 16777216 na na na na
|
|
Max dose trend plots corrected for events that "pile-up"
in the center of the taps due to bad position information.
|
|
|
|
|
| Nov 2025 | Aug 2025 | May 2025 | Feb 2025 |
|---|
|
|
|
|
| Nov 2025 | Aug 2025 | May 2025 | Feb 2025 |
|---|
HRMA Focus
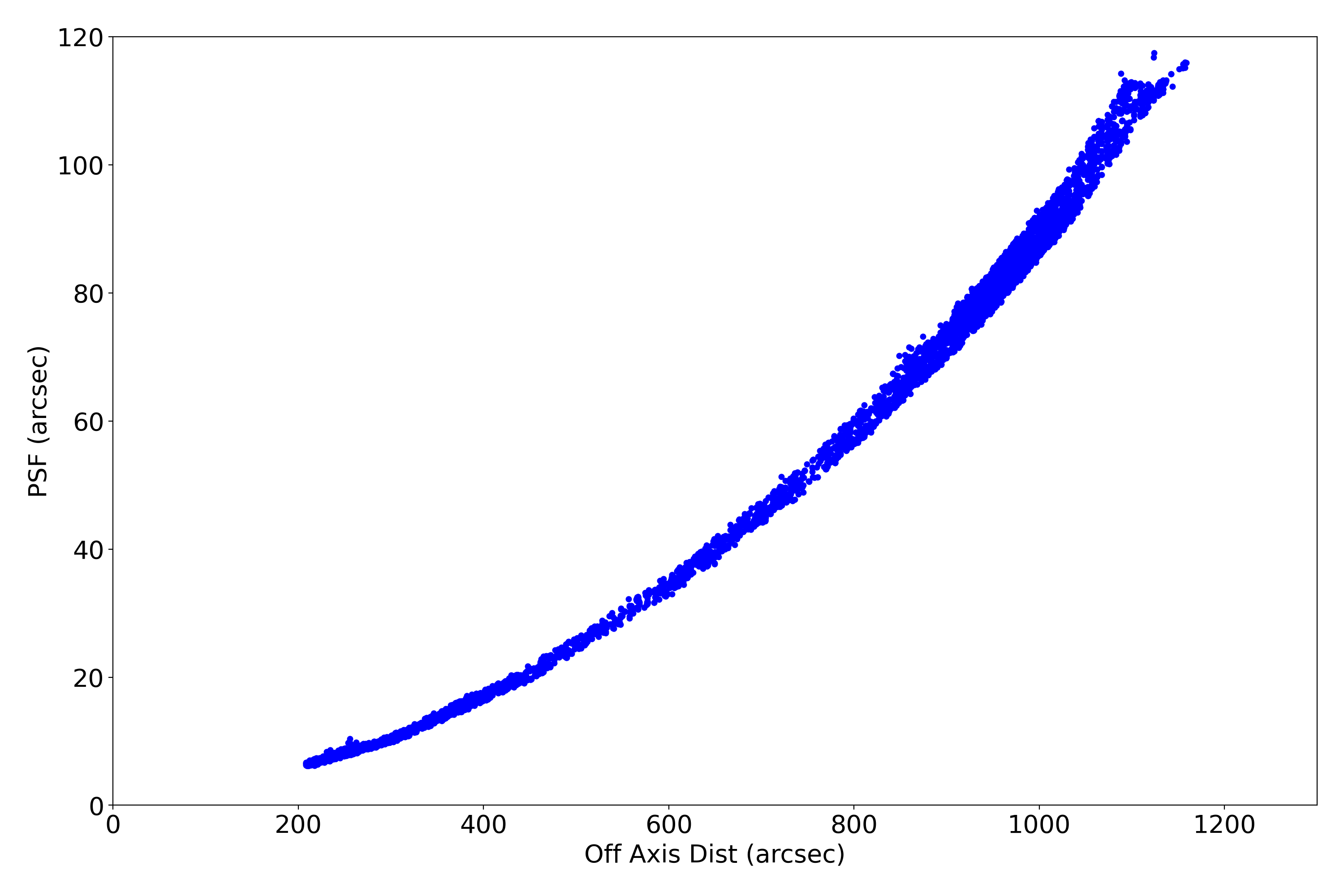
Plots below show various characteristics of detected imaging sources. Standard level 2 data products (*src2.fits) are used. Only observations with focus (sim_x) within 0.01 mm of nominal value for given SI configuration are used. Sources are also filtered for strength (SNR > 15).
| XY | PSF | Roundness | EE Radius | SNR | Rotation | Rotation2 | |
|---|---|---|---|---|---|---|---|
| ACIS I | ![]() |
![]() |
![]() |
![]() |
![]() |
![]() |
![]() |
| ACIS S | ![]() |
![]() |
![]() |
![]() |
![]() |
![]() |
![]() |
| HRC I | ![]() |
![]() |
![]() |
![]() |
![]() |
![]() |
![]() |
| HRC S | ![]() |
![]() |
![]() |
![]() |
![]() |
![]() |
![]() |
Gratings
Grating Trends/Focus
We plot the width of the zero order streak of ACIS/HETG observations and the width of the zero order image for HRC/LETG observations of point sources. No significant defocusing trend is seen at this time. See Gratings Trends pages.
PCAD
ACA Trending
| ACIS |
|
|
|
|
|---|---|---|---|---|
|
|
| ||
| HRCI |
|
|
|
|
| HRCI |
|
|
|
|
Gyro Bias Drift
Radiation History
Radiation Count Rates of Feb 2026
Sun Spot History (See:NOAA Page)
Trending
Quarterly Trends
- HRC Temperature
| Previous Quarter | |||||||
| MSID | MEAN | RMS | DELTA/YR | DELTA/YR/YR | UNITS | DESCRIPTION | |
| 2ceahvpt | -0.005 | 5.128e-04 | (2.79+/-0.01)e2 | -0.06 +/- 0.40 | K | CEA RADIATOR TEMPERATURE AT CENTER | |
|---|---|---|---|---|---|---|---|
| 2chtrpzt | -0.005 | 5.309e-04 | (2.76+/-0.01)e2 | -0.05 +/- 0.41 | K | CENTRAL ELECTRONICS BOX TEMP | |
| 2condmxt | -0.004 | 7.827e-04 | (2.72+/-0.02)e2 | 1.20 +/- 0.49 | K | CONDUIT -X FACE TEMPERATURE | |
| 2dcentrt | -9.514e-04 | 4.270e-04 | (2.74+/-0.01)e2 | 1.08 +/- 0.28 | K | DETECTOR HOUSING TEMP 2 | |
| 2dtstatt | 0.001 | 5.728e-04 | (2.70+/-0.01)e2 | 1.28 +/- 0.36 | K | DETECTOR HOUSING TEMP 1 | |
| 2fhtrmzt | -9.769e-06 | 9.580e-04 | (2.67+/-0.02)e2 | 0.66 +/- 0.66 | K | FRONT END ELECTRONICS BOX TEMPERATURE | |
| 2fradpyt | 2.095e-04 | 0.001 | (2.65+/-0.02)e2 | 0.46 +/- 0.72 | K | FRONT END ASSEMBLY +Y AT RADIATOR CENTER TEMP | |
| 2pmt1t | -0.009 | 7.895e-04 | (2.85+/-0.02)e2 | 0.10 +/- 0.57 | K | PMT 1 TEMPERATURE | |
| 2pmt2t | -0.009 | 7.734e-04 | (2.85+/-0.02)e2 | -0.07 +/- 0.56 | K | PMT 2 TEMPERATURE | |
| 2uvlspxt | -0.002 | 5.463e-04 | (2.76+/-0.01)e2 | 0.15 +/- 0.39 | K | UV LIGHT SHIELD NEXT TO SNOUT TEMP | |
- HRC HK
| Previous Quarter | |||||||
| MSID | MEAN | RMS | DELTA/YR | DELTA/YR/YR | UNITS | DESCRIPTION | |
| 2fe00atm | -0.008 | 0.009 | -0.69 +/- 2.98 | (0.00+/-0.00)e0 | C | Front end temperature | |
|---|---|---|---|---|---|---|---|
| 2fepratm | on | 0.075 | 0.004 | 25.19 +/- 1.89 | -2.48 +/- 1.79 | C | FE temp card temperature | off | -0.009 | 0.008 | -0.68 +/- 2.96 | (0.00+/-0.00)e0 |
| 2imhvatm | on | 0.023 | 0.022 | 16.26 +/- 1.82 | (0.00+/-0.00)e0 | C | Imaging det HVPS temperature | off | 0.015 | 0.012 | 16.42 +/- 1.14 | (0.00+/-0.00)e0 |
| 2iminatm | on | 0.064 | 0.003 | 20.52 +/- 1.59 | -1.25 +/- 1.57 | C | Imaging det temperature | off | -0.003 | 0.003 | 1.90 +/- 0.91 | (0.00+/-0.00)e0 |
| 2lvplatm | on | 0.019 | 0.019 | 10.14 +/- 1.57 | (0.00+/-0.00)e0 | C | LVPS plate temperature | off | 0.002 | 0.011 | 11.30 +/- 1.00 | (0.00+/-0.00)e0 |
| 2prbscr | on | 0.001 | 1.075e-04 | 1.76 +/- 0.05 | -0.03 +/- 0.05 | AMP | Primary bus current | off | 1.739e-04 | 4.659e-05 | 1.71 +/- 0.02 | (0.00+/-0.00)e0 |
| 2prbsvl | -0.001 | 4.861e-04 | 25.76 +/- 0.18 | (0.00+/-0.00)e0 | V | Primary bus voltage | |
| 2smtratm | on | 5.036e-15 | 2.577e-09 | 5.66 +/- 0.00 | (0.00+/-0.00)e0 | C | Selected motor temperature | off | 1.475e-15 | 1.800e-09 | 5.66 +/- 0.00 | (0.00+/-0.00)e0 |
| 2sphvatm | on | 0.014 | 0.017 | 15.75 +/- 1.36 | (0.00+/-0.00)e0 | C | Spect det HVPS temperature | off | -0.039 | 0.019 | 17.89 +/- 1.90 | (0.00+/-0.00)e0 |
| 2spinatm | on | 0.054 | 0.003 | 19.08 +/- 1.49 | -1.14 +/- 1.53 | C | Spect det temperature | off | -0.007 | 0.003 | 3.91 +/- 1.14 | (0.00+/-0.00)e0 |
- PCAD Temperature
| Previous Quarter | |||||||
| MSID | MEAN | RMS | DELTA/YR | DELTA/YR/YR | UNITS | DESCRIPTION | |
| aacccdpt | 0.016 | 9.558e-04 | (2.67+/-0.02)e2 | -2.46 +/- 0.77 | K | AC CCD TEMP (PRI) | |
|---|---|---|---|---|---|---|---|
| aacccdrt | 0.017 | 0.001 | (3.11+/-0.02)e2 | -2.51 +/- 0.82 | K | AC CCD TEMP (RDNT) | |
| aach1t | 0.017 | 0.001 | (3.09+/-0.02)e2 | -2.65 +/- 0.82 | K | AC HOUSING TEMP (ACH1) | |
| aach2t | 0.017 | 0.001 | (3.09+/-0.02)e2 | -2.65 +/- 0.82 | K | AC HOUSING TEMP (ACH2) | |
Spacecraft Motions
TSC and FA Cummulative Moter Distance
HETG and LETG Cummulative Insertion Counts
HETG/LETG Insertion/Retraction Angle
Reaction Wheel Rotations



























