Simultaneously Fitting Source and Background Spectra
![[CXC Logo]](/ciao/imgs/cxc-logo.gif)
Sherpa Threads (CIAO 4.18 Sherpa)
Overview
Synopsis:
If you would like to fit a background-subtracted source spectrum using a common RMF and ARF for source and background, simply read the source spectrum FITS file into Sherpa, subtract the background, and fit it. To fit source and background spectra simultaneously with proper and distinct RMFs and ARFs, load the source and background as different data sets. This thread illustrates both cases.
The sample data files used in this thread are available in sherpa.tar.gz; they can be generated by following the CIAO thread Extract ACIS Spectra and Response Files for Pointlike Sources.
Last Update: 20 Nov 2025 - revised for CIAO 4.18, fit results updated.
Contents
- Getting Started
- Statistical Issues: Background Subtraction
- Fit a Background-Subtracted Source
- Simultaneously Fit Source and Background with the Same Responses
- Simultaneously Fit Source and Background with Independent Responses
- Scripting It
- Summary
- History
-
Images
- Figure 1: The background-subtracted source spectrum: all the data
- Figure 2: The background-subtracted source spectrum: 0.3 – 3 keV
- Figure 3: Fit of the background-subtracted data
- Figure 4: Comparing the source and background datasets
- Figure 5: Changing the grpuping for the background dataset
- Figure 6: Simultaneous fit of the source and background data (same responses)
- Figure 7: Plot of the ungrouped source and background data
- Figure 8: Adding responses
- Figure 9: Plot of the ungrouped source and background data with default fits
- Figure 10: Plot of the ungrouped source data with custom fits
- Figure 11: Simultaneous fit of the ungrouped source data (different responses)
- Figure 12: Simultaneous fit of the ungrouped background data (different responses)
Getting Started
Please follow the "Obtaining data used in Sherpa threads" thread.
Statistical Issues: Background Subtraction
![[WARNING]](../../imgs/warning.png)
A typical dataset may contain multiple spectra, one of which contains contributions from the source and the background, and one or more which contain background counts alone. (The background itself may contain contributions from the cosmic X-ray background, the particle background, and so on, but we ignore this complication.)
The proper way to treat background data is to model them. However, many X-ray astronomers subtract background data from the raw data.
Why should one not subtract background?
- It reduces the amount of statistical information in the analysis—the final fit parameter values will be a less accurate estimate of the true values.
- The background-subtracted data are not Poisson-distributed; one cannot fit them with the Poisson likelihood or the Cash statistic, even in the low-counts limit. For example, subtracting a background can give negative counts; this is definitely not Poissonian!
- Fluctuations, particularly in the vicinity of localized features, can adversely affect analysis.
Fit a Background-Subtracted Source
Reading FITS data for source and background
By default, specextract updates the header keywords BACKFILE, RESPFILE, and ANCRFILE in the source spectrum file:
unix% dmkeypar 3c273.pi BACKFILE echo+ 3c273_bg.pi unix% dmkeypar 3c273.pi RESPFILE echo+ 3c273.rmf unix% dmkeypar 3c273.pi ANCRFILE echo+ 3c273.arf
On account of these keywords, Sherpa automatically reads in the (ungrouped) background spectrum 3c273_bg.pi and the source response matrices 3c273.rmf and 3c273.arf when the source spectrum is read:
sherpa> load_pha("3c273.pi")
WARNING: systematic errors were not found in file '3c273.pi'
statistical errors were found in file '3c273.pi'
but not used; to use them, re-read with use_errors=True
read ARF file 3c273.arf
read RMF file 3c273.rmf
WARNING: systematic errors were not found in file '3c273_bg.pi'
statistical errors were found in file '3c273_bg.pi'
but not used; to use them, re-read with use_errors=True
read background file 3c273_bg.pi
![[NOTE]](../../imgs/note.png)
If Sherpa does not automatically read in the background data, then it can be input as follows:
sherpa> load_bkg("3c273_bg.pi")
WARNING: systematic errors were not found in file '3c273_bg.pi'
statistical errors were found in file '3c273_bg.pi'
but not used; to use them, re-read with use_errors=True
Subtracting the background
The user can then subtract the background from the source spectrum and fit the background-subtracted source spectrum using response matrices for the source only. The following commands may be used as an example script for subtracting the background and then visualizing the 0.3–3 keV background-subtracted source data in Sherpa:
sherpa> subtract() sherpa> set_xlog() sherpa> set_ylog() sherpa> plot_data()
Figure 1: The background-subtracted source spectrum: all the data
![[Plot of the background-subtracted source spectrum]](plot-data-initial.png)
![[Print media version: Plot of the background-subtracted source spectrum]](plot-data-initial.png)
Figure 1: The background-subtracted source spectrum: all the data
Plot of background-subtracted spectrum of 3C 273 for the full energy range. The axes are both drawn with a log scale because of the calls to set_xlog and set_ylog.
The PHA data plots display the full data range of the noticed data, so in this case the x-axis shows data down to \(10^{-3}\) keV, as the e_min values from the RMF are used for this plot:
sherpa> print(get_rmf().e_min[0]) 0.0014600001741200686
Applying the 0.3–3 keV energy filter:
sherpa> notice(0.3, 3.)
dataset 1: 0.00146:14.9504 -> 0.2482:3.0806 Energy (keV)
sherpa> plot_data(xlog=False, ylog=False)
produces Figure 2.
Figure 2: The background-subtracted source spectrum: 0.3 – 3 keV
![[Plot of the background-subtracted source spectrum]](plot-data-filtered.png)
![[Print media version: Plot of the background-subtracted source spectrum]](plot-data-filtered.png)
Figure 2: The background-subtracted source spectrum: 0.3 – 3 keV
Plot of background-subtracted spectrum of 3C 273, with linear axes for the energy range 0.3 to 3 keV.
The get_bkg_scale function—not to be confused with get_backscal—returns the value of the coefficient which is used to scale background counts during background subtraction of a source spectrum, or a simultaneous fit of source and background spectra. The complete scaling factor used to scale the background counts depends on how the background is handled. When subtracting the background, which corresponds to the default units='counts' option, the ratio is the product of the source-to-background exposure and backscale (extraction region area).
The background-subtracted spectrum is then:
\[ \mathrm{spectrum_{src-bkg}\ [cts/s]} = \frac{\mathrm{counts_{src}}}{\mathrm{exposure_{src}}} - \left( \frac{\mathrm{counts_{bkg}}}{\mathrm{exposure_{bkg}}} \right) \left( \frac{\mathrm{backscale_{src}}}{\mathrm{backscale_{bkg}}} \right) \]and the background scaling factor is:
\[ \mathrm{background\ scaling\ factor} = \left( \frac{\mathrm{exposure_{src}}}{\mathrm{exposure_{bkg}}} \right) \left( \frac{\mathrm{backscale_{src}}}{\mathrm{backscale_{bkg}}} \right). \]If the background is to be modelled, rather than subtracted, we only want the ratio of the \(\mathrm{backscale}\) values, which is provided by the (introduced in CIAO 4.13) option: units='rate'. This is discussed in the Manually defining source and background models section below.
![[NOTE]](../../imgs/note.png)
The get_backscal function returns the value associated with the OGIP PHA header keyword BACKSCAL, which is only one component of the complete scaling factor.
The background scaling factor is also returned by the show_data and show_all functions. The value returned by the get_bkg_scale function can be checked by doing the following in Sherpa:
sherpa> print(get_bkg_scale()) 0.134920643888096
which can be compared to
sherpa> t1 = get_exposure() * get_backscal() sherpa> t2 = get_exposure(bkg_id=1) * get_backscal(bkg_id=1) sherpa> manual_bkg_scale_check = t1 / t2 sherpa> print(manual_bkg_scale_check) 0.134920643888096
Defining the source instrument response
Since the header of the input source spectrum file referenced the instrument response files, an instrument response was automatically defined:
sherpa> print(get_arf()) name = 3c273.arf energ_lo = Float64[1090] energ_hi = Float64[1090] specresp = Float64[1090] exposure = 38570.69248122 ethresh = 1e-10 sherpa> print(get_rmf()) name = 3c273.rmf energ_lo = Float64[1090] energ_hi = Float64[1090] n_grp = UInt64[1090] f_chan = UInt64[2004] n_chan = UInt64[2004] matrix = Float64[58564] e_min = Float64[1024] e_max = Float64[1024] detchans = 1024 offset = 1 ethresh = 1e-10 sherpa> print(get_bkg_arf()) name = 3c273.arf energ_lo = Float64[1090] energ_hi = Float64[1090] specresp = Float64[1090] exposure = 38570.69248122 ethresh = 1e-10 sherpa> print(get_bkg_rmf()) name = 3c273.rmf energ_lo = Float64[1090] energ_hi = Float64[1090] n_grp = UInt64[1090] f_chan = UInt64[2004] n_chan = UInt64[2004] matrix = Float64[58564] e_min = Float64[1024] e_max = Float64[1024] detchans = 1024 offset = 1 ethresh = 1e-10
Note that the instrument response was automatically set up for both the source and background. However, unless a background model is defined for fitting using the set_bkg_model command, then the background data will be ignored.
![[NOTE]](../../imgs/note.png)
If you manually read in a background file after reading the source data, the background instrument response will be reset. To set it to be identical to the source instrument response, use load_bkg_arf and load_bkg_rmf with the source response files:
sherpa> load_bkg_rmf("3c273.rmf")
sherpa> load_bkg_arf("3c273.arf")
sherpa> print(get_bkg_arf())
name = 3c273.arf
energ_lo = Float64[1090]
energ_hi = Float64[1090]
specresp = Float64[1090]
exposure = 38570.69248122
ethresh = 1e-10
sherpa> print(get_bkg_rmf())
name = 3c273.rmf
detchans = 1024
energ_lo = Float64[1090]
energ_hi = Float64[1090]
n_grp = UInt64[1090]
f_chan = UInt64[2004]
n_chan = UInt64[2004]
matrix = Float64[58564]
offset = 1
e_min = Float64[1024]
e_max = Float64[1024]
ethresh = 1e-10
Defining and fitting a source model
The following commands may be used as an example script for fitting the background-subtracted data with a source model consisting of an absorbed power-law:
sherpa> set_source(xsphabs.abs1 * powlaw1d.p1) sherpa> show_source() Model: 1 xsphabs.abs1 * powlaw1d.p1 Param Type Value Min Max Units ----- ---- ----- --- --- ----- abs1.nH thawed 1 0 100000 10^22 atoms / cm^2 p1.gamma thawed 1 -10 10 p1.ref frozen 1 -3.40282e+38 3.40282e+38 p1.ampl thawed 1 0 3.40282e+38 sherpa> abs1.nh = 0.1 sherpa> guess(p1) sherpa> print(p1) powlaw1d.p1 Param Type Value Min Max Units ----- ---- ----- --- --- ----- p1.gamma thawed 1 -10 10 p1.ref frozen 1 -3.40282e+38 3.40282e+38 p1.ampl thawed 0.000143003 1.43003e-07 0.143003 sherpa> fit() Dataset = 1 Method = levmar Statistic = chi2gehrels Initial fit statistic = 89.6271 Final fit statistic = 15.474 at function evaluation 184 Data points = 33 Degrees of freedom = 30 Probability [Q-value] = 0.986773 Reduced statistic = 0.515801 Change in statistic = 74.1531 abs1.nH 0.000216916 +/- 0.0160164 p1.gamma 1.70304 +/- 0.155556 p1.ampl 0.000160838 +/- 1.56648e-05 sherpa> plot_fit_resid()
The results are shown in Figure 3.
Figure 3: Fit of the background-subtracted data
![[Plot of the fit to the background-subtracted source spectrum]](plot-fit-resid.png)
![[Print media version: Plot of the fit to the background-subtracted source spectrum]](plot-fit-resid.png)
Figure 3: Fit of the background-subtracted data
Plot of the source model fit to the background-subtracted spectrum of 3C 273 and residuals.
The confidence function may be used to estimate the errors on the individual parameters of the fit; in this example, we choose to explicitly calculate the 1σ errors (although it is also the default setting):
sherpa> get_conf_opt() {'sigma': 1, 'eps': 0.01, 'maxiters': 200, 'soft_limits': False, 'remin': 0.01, 'fast': False, 'parallel': True, 'numcores': 4, 'maxfits': 5, 'max_rstat': 3, 'tol': 0.2, 'verbose': False, 'openinterval': False} sherpa> set_conf_opt("sigma", 1) sherpa> conf() abs1.nH lower bound: ----- abs1.nH upper bound: 0.0117216 p1.gamma lower bound: -0.105005 p1.gamma upper bound: 0.125461 p1.ampl lower bound: -8.25981e-06 p1.ampl upper bound: 1.46135e-05 Dataset = 1 Confidence Method = confidence Iterative Fit Method = None Fitting Method = levmar Statistic = chi2gehrels confidence 1-sigma (68.2689%) bounds: Param Best-Fit Lower Bound Upper Bound ----- -------- ----------- ----------- abs1.nH 0.000216916 ----- 0.0117216 p1.gamma 1.70304 -0.105005 0.125461 p1.ampl 0.000160838 -8.25981e-06 1.46135e-05
Simultaneously Fit Source and Background with the Same Responses
Instead of subtracting the background, the user may choose to simultaneously fit the source and background spectra, using the same (source) RMF and ARF.
Reading FITS data for source and background
Again, Sherpa automatically reads in the (ungrouped) background spectrum and the source response matrices when the source spectrum is read:
sherpa> clean() sherpa> load_pha("3c273.pi") WARNING: systematic errors were not found in file '3c273.pi' statistical errors were found in file '3c273.pi' but not used; to use them, re-read with use_errors=True read ARF file 3c273.arf read RMF file 3c273.rmf WARNING: systematic errors were not found in file '3c273_bg.pi' statistical errors were found in file '3c273_bg.pi' but not used; to use them, re-read with use_errors=True read background file 3c273_bg.pi
Defining the source and background instrument response
Since the header of the input source spectrum file referenced the instrument response files, an instrument response was automatically defined:
sherpa> print(get_arf()) name = 3c273.arf energ_lo = Float64[1090] energ_hi = Float64[1090] specresp = Float64[1090] exposure = 38570.69248122 ethresh = 1e-10 sherpa> print(get_rmf()) name = 3c273.rmf energ_lo = Float64[1090] energ_hi = Float64[1090] n_grp = UInt64[1090] f_chan = UInt64[2004] n_chan = UInt64[2004] matrix = Float64[58564] e_min = Float64[1024] e_max = Float64[1024] detchans = 1024 offset = 1 ethresh = 1e-10 sherpa> print(get_bkg_arf()) name = 3c273.arf energ_lo = Float64[1090] energ_hi = Float64[1090] specresp = Float64[1090] exposure = 38570.69248122 ethresh = 1e-10 sherpa> print(get_bkg_rmf()) name = 3c273.rmf energ_lo = Float64[1090] energ_hi = Float64[1090] n_grp = UInt64[1090] f_chan = UInt64[2004] n_chan = UInt64[2004] matrix = Float64[58564] e_min = Float64[1024] e_max = Float64[1024] detchans = 1024 offset = 1 ethresh = 1e-10
The instrument response was automatically set up for both the source and background. However, unless a background model is defined for fitting using the set_bkg_model command, then the background data will be ignored. In order to fit the background simultaneously with the source, the set_bkg_model command will be issued in the next step.
As with the Defining the source instrument response section, the load_bkg_arf and load_bkg_rmf routines can be used to set the responses.
The same data range is used as previously:
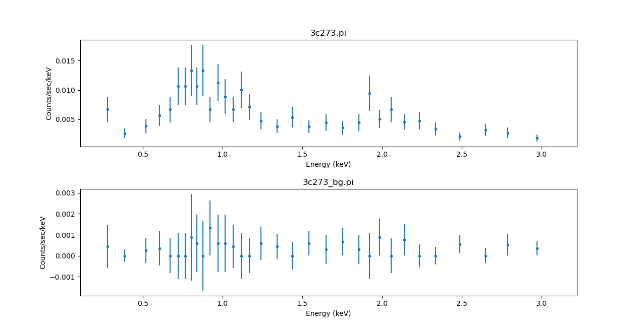
sherpa> notice(0.3, 3) dataset 1: 0.00146:14.9504 -> 0.2482:3.0806 Energy (keV) sherpa> plot("data", "bkg")
Figure 4: Comparing the source and background datasets
![[The source has many more counts in it than the background.]](plot-data-bkg-initial.png)
![[Print media version: The source has many more counts in it than the background.]](plot-data-bkg-initial.png)
Figure 4: Comparing the source and background datasets
Re-grouping the data and background
In this section we are going to re-group the data so that:
-
the grouping is calculated only for the noticed energy range (see Changing the grouping scheme of a data set within Sherpa for more information),
-
and the background dataset is grouped separately to the source dataset.
The first step is to remove both the grouping and any data filters:
sherpa> ungroup() dataset 1: 0.2482:3.0806 Energy (keV) (unchanged) sherpa> notice() dataset 1: 0.2482:3.0806 -> 0.00146:14.9504 Energy (keV)
We can now apply the filter to the ungrouped data and store the mask arrays for both source and background datasets (this isn't needed in this example as they are the same, but if we had used a different energy range they would differ):
sherpa> notice(0.3, 3) dataset 1: 0.00146:14.9504 -> 0.292:3.0076 Energy (keV) sherpa> smask = get_data().mask sherpa> bmask = get_bkg().mask
The mask arrays can then be used in a call to group_counts, noting that we need to invert them with the ~ operator for the tabStops argument:
sherpa> group_counts(20, tabStops=~smask) dataset 1: 0.292:3.0076 Energy (keV) (unchanged) sherpa> group_counts(10, bkg_id=1, tabStops=~bmask) dataset 1: background 1: 0.292:3.0076 Energy (keV) (unchanged) sherpa> plot_data(ylog=True) sherpa> plot_bkg(overplot=True)
Figure 5: Changing the grpuping for the background dataset
![[There are now nly four bins for the background, which is also at roughly one order of magnitude fainter flux than the source.]](plot-data-bkg-regrouped.png)
![[Print media version: There are now nly four bins for the background, which is also at roughly one order of magnitude fainter flux than the source.]](plot-data-bkg-regrouped.png)
Figure 5: Changing the grpuping for the background dataset
The orange points mark the background values. The reason for using such a low value of 10 counts per bin for the background is because there are not many counts in the background!
Although the thread started with calls to set_xlog and set_ylog, the call to clean earlier has meant that these settings have been cleared, hence the use of ylog in the plot_data call.
![[WARNING]](../../imgs/warning.png)
The data as plotted does not account for any scaling factor between the source and background regions (that is, the relative BACKSCAL values of the two).
Defining and fitting source and background models
The fit_bkg function is available (and the equivalent 'bkg_only' option of the fit command) allows you to fit models to just the background components. It fits the defined background model(s) to the background data set(s) by ID. It may be called with no arguments, in which case a fit is done simultaneously on all background data sets for which the user has defined a model to be fit; source data sets ready for fitting will be ignored in this case.
Here, we choose to simultaneously fit the source and background with the fit function, using an absorbed power-law model for the source and an unabsorbed power-law model for the background. The source and background models are defined using the set_source and set_bkg_model commands, respectively.
sherpa> set_source(xsphabs.abs1 * powlaw1d.srcp1) sherpa> set_bkg_model(abs1 * powlaw1d.bkgp1) sherpa> abs1.nh = 0.1 sherpa> guess(srcp1) sherpa> guess(bkgp1)
We can view the model expressions with show_bkg_model and show_model. The latter now includes the background model and the scaling factor for the source and background apertures:
sherpa> show_bkg_model() Background Model: 1:1 apply_rmf(apply_arf(38564.608926889 * xsphabs.abs1 * powlaw1d.bkgp1)) Param Type Value Min Max Units ----- ---- ----- --- --- ----- abs1.nH thawed 0.1 0 100000 10^22 atoms / cm^2 bkgp1.gamma thawed 1 -10 10 bkgp1.ref frozen 1 -3.40282e+38 3.40282e+38 bkgp1.ampl thawed 0.000161569 1.61569e-07 0.161569 sherpa> show_model() Model: 1 apply_rmf(apply_arf(38564.608926889 * (xsphabs.abs1 * powlaw1d.srcp1 + 0.13492064388809602 * xsphabs.abs1 * powlaw1d.bkgp1))) Param Type Value Min Max Units ----- ---- ----- --- --- ----- abs1.nH thawed 0.1 0 100000 10^22 atoms / cm^2 srcp1.gamma thawed 1 -10 10 srcp1.ref frozen 1 -3.40282e+38 3.40282e+38 srcp1.ampl thawed 0.000161569 1.61569e-07 0.161569 bkgp1.gamma thawed 1 -10 10 bkgp1.ref frozen 1 -3.40282e+38 3.40282e+38 bkgp1.ampl thawed 0.000161569 1.61569e-07 0.161569
We can start by fitting just the background components:
sherpa> fit_bkg() Dataset = 1 Method = levmar Statistic = chi2gehrels Initial fit statistic = 3707.75 Final fit statistic = 0.182283 at function evaluation 236 Data points = 4 Degrees of freedom = 1 Probability [Q-value] = 0.669419 Reduced statistic = 0.182283 Change in statistic = 3707.57 abs1.nH 0.00174868 +/- 0.392586 bkgp1.gamma 1.18982 +/- 1.54133 bkgp1.ampl 1.0457e-05 +/- 1.23905e-05
The results could be inspected with plot_bkg_fit but let's go straight to fitting both the source and background datasets:
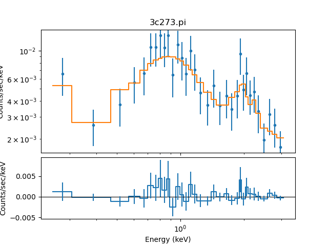
sherpa> fit() Dataset = 1 Method = levmar Statistic = chi2gehrels Initial fit statistic = 84.9525 Final fit statistic = 13.9553 at function evaluation 334 Data points = 28 Degrees of freedom = 23 Probability [Q-value] = 0.928145 Reduced statistic = 0.60675 Change in statistic = 70.9973 abs1.nH 0.000347488 +/- 0.0471396 srcp1.gamma 1.67088 +/- 0.250592 srcp1.ampl 0.000162383 +/- 2.88658e-05 bkgp1.gamma 1.17266 +/- 0.548428 bkgp1.ampl 1.05334e-05 +/- 3.46271e-06 sherpa> plot_fit_delchi(ylog=True) sherpa> plot_bkg_fit_delchi(overplot=True)
The results are shown Figure 6.
Figure 6: Simultaneous fit of the source and background data (same responses)
![[Plot of the simultaneous fit of the 3C 273 source and background spectra. The top plot shows the data and models for the source and background datasets, and the bottom the residuals (in units of sigma).]](plot-data-bkg-residuals.png)
![[Print media version: Plot of the simultaneous fit of the 3C 273 source and background spectra. The top plot shows the data and models for the source and background datasets, and the bottom the residuals (in units of sigma).]](plot-data-bkg-residuals.png)
Figure 6: Simultaneous fit of the source and background data (same responses)
Plot of the simultaneous fit of the 3C 273 source and background spectra.
The calc_stat_info command (see also get_stat_info) may be used to access the goodness-of-fit statistics for the individual source and background data sets included in the simultaneous fit and the simultaneous fit itself, without having to re-run the fit.
sherpa> calc_stat_info() Dataset = 1 Statistic = chi2gehrels Fit statistic value = 13.7744 Data points = 24 Degrees of freedom = 19 Probability [Q-value] = 0.796683 Reduced statistic = 0.724966 Background 1 in Dataset = 1 Statistic = chi2gehrels Fit statistic value = 0.180907 Data points = 4 Degrees of freedom = 1 Probability [Q-value] = 0.670595 Reduced statistic = 0.180907 Dataset = 1 Statistic = chi2gehrels Fit statistic value = 13.9553 Data points = 28 Degrees of freedom = 23 Probability [Q-value] = 0.928145 Reduced statistic = 0.60675
The confidence 1σ error estimates on the individual parameters of the fit are:
sherpa> conf() abs1.nH lower bound: ----- abs1.nH upper bound: 0.0417435 bkgp1.ampl lower bound: -3.32351e-06 bkgp1.ampl upper bound: 3.32194e-06 srcp1.gamma lower bound: -0.102865 srcp1.gamma upper bound: 0.233221 bkgp1.gamma -: WARNING: The confidence level lies within (5.942293e-01, 5.967294e-01) bkgp1.gamma lower bound: -0.577181 bkgp1.gamma upper bound: 0.541621 srcp1.ampl lower bound: -8.92655e-06 srcp1.ampl upper bound: 2.9087e-05 Dataset = 1 Confidence Method = confidence Iterative Fit Method = None Fitting Method = levmar Statistic = chi2gehrels confidence 1-sigma (68.2689%) bounds: Param Best-Fit Lower Bound Upper Bound ----- -------- ----------- ----------- abs1.nH 0.000347488 ----- 0.0417435 srcp1.gamma 1.67088 -0.102865 0.233221 srcp1.ampl 0.000162383 -8.92655e-06 2.9087e-05 bkgp1.gamma 1.17266 -0.577181 0.541621 bkgp1.ampl 1.05334e-05 -3.32351e-06 3.32194e-06
Simultaneously Fit Source and Background with Independent Responses
Instead of subtracting the background, the user may choose to simultaneously fit the source and background spectra, each with its own RMF and ARF.
Reading FITS data for source and background
In this thread, we wish to fit spectral data from the FITS (ungrouped) data files source.pi and back.pi. These data sets are input into Sherpa with load_* commands:
sherpa> clean() sherpa> load_pha("source.pi") statistical errors were found in file 'source.pi' but not used; to use them, re-read with use_errors=True sherpa> load_bkg("back.pi") statistical errors were found in file 'source.pi' but not used; to use them, re-read with use_errors=True
The source and background data sets can be plotted in separate windows with plot_data and plot_bkg, or together in one window with the following syntax:
sherpa> plot("data", "bkg")
The plots are displayed in Figure 7. The data are plotted in bin (i.e. channel) space, since we have not yet defined the instrument response (RMFs and ARFs).
Figure 7: Plot of the ungrouped source and background data
![[Plot of the ungrouped source and background spectra]](data-separate.png)
![[Print media version: Plot of the ungrouped source and background spectra]](data-separate.png)
Figure 7: Plot of the ungrouped source and background data
Since no instrument responses have been loaded, the x-axis units are in channels rather than energy.
Defining source and background instrument responses
Here we establish 1-D instrument responses by loading the source and background response files with load_* commands:
sherpa> load_arf("source.arf")
sherpa> load_rmf("source.rmf")
sherpa> load_bkg_arf("back.arf")
sherpa> load_bkg_rmf("back.rmf")
Now when we plot the data the x-axis is in energy, rather than channel (Figure 8) units:
sherpa> plot('data', 'bkg', xlog=True)
Figure 8: Adding responses
![[Plot of the ungrouped source and background spectra, now in energy units]](data-separate-response.png)
![[Print media version: Plot of the ungrouped source and background spectra, now in energy units]](data-separate-response.png)
Figure 8: Adding responses
Starting with CIAO 4.13, the ability to apply options to all the plots in a call to plot.
The current definition of the instrument response may be examined using show_all or get commands:
sherpa> print(get_arf()) name = source.arf energ_lo = Float64[1090] energ_hi = Float64[1090] specresp = Float64[1090] exposure = 49470.94775939 ethresh = 1e-10 sherpa> print(get_rmf()) name = source.rmf energ_lo = Float64[1090] energ_hi = Float64[1090] n_grp = UInt64[1090] f_chan = UInt64[1090] n_chan = UInt64[1090] matrix = Float64[572598] e_min = Float64[1024] e_max = Float64[1024] detchans = 1024 offset = 1 ethresh = 1e-10 sherpa> print(get_bkg_arf()) name = back.arf energ_lo = Float64[1090] energ_hi = Float64[1090] specresp = Float64[1090] exposure = 49470.94775939 ethresh = 1e-10 sherpa> print(get_bkg_rmf()) name = back.rmf energ_lo = Float64[1090] energ_hi = Float64[1090] n_grp = UInt64[1090] f_chan = UInt64[1090] n_chan = UInt64[1090] matrix = Float64[552166] e_min = Float64[1024] e_max = Float64[1024] detchans = 1024 offset = 1 ethresh = 1e-10
The output shows that source.arf and source.rmf currently define the source instrument response.
Defining and fitting source and background models
We now need to define a source model for our source data set and a background model for our background data set. For these data, we find that absorbed blackbody spectra are appropriate. We define a model which includes an absorbing column and a blackbody for both the source and background:
sherpa> set_source(xsphabs.a1 * xsbbody.b1) sherpa> set_bkg_model(a1 * xsbbody.b2)
Since we are fitting the background, we choose to use a Poisson-based likelihood for the analysis: in this case we use the cash statistic. We change the optimiser from levmar to simplex as it is generally more robust, but slower, when using Poisson-based likelihoods:
sherpa> set_stat('cash') sherpa> set_method('simplex')
Note that we also ignore the high and low energy regions of the spectrum, as they generally have lower quality data and the effective area of the telescope has dropped significantly.
sherpa> notice(0.5, 7) dataset 1: 0.00146:14.9504 -> 0.4964:7.008 Energy (keV)
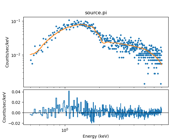
The plots of the data and model (with the default parameter values) produced by plot commands are shown in Figure 9:
sherpa> plot_fit(xlog=True, ylog=True, color='green', alpha=0.5, yerrorbars=False) WARNING: The displayed errorbars have been supplied with the data or calculated using chi2xspecvar; the errors are not used in fits with cash sherpa> plot_bkg_fit(overplot=True, color='orange', alpha=0.5, yerrorbars=False) WARNING: The displayed errorbars have been supplied with the data or calculated using chi2xspecvar; the errors are not used in fits with cash
Figure 9: Plot of the ungrouped source and background data with default fits
![[Plot of the ungrouped source spectrum with default fit]](fit-separate.png)
![[Print media version: Plot of the ungrouped source spectrum with default fit]](fit-separate.png)
Figure 9: Plot of the ungrouped source and background data with default fits
The source region (and fit) is shown in green, the background is in orange. The opacity of plot elements may be set with the alpha plot option.
Clearly, the default values are not a very good fit to the data. We may choose to begin the fit now, using the fit command, or we can refine the values of the fit-by-eye, prior to fitting. By varying parameter values, while plotting and replotting the data, we can help the fitting algorithm find the best minimum. By setting the parameters to values near what we expect, we also help avoid local minima in the parameter space. (Fitting spectra is something of an art; one generally gets better fits when they have a priori knowledge of the source.) We set the values of the parameters as follows:
sherpa> a1.nH = 0.05 sherpa> b1.kT = 20 sherpa> b1.norm = 1e-02 sherpa> b2.kT = 0.5 sherpa> b2.norm.min = 1e-6 sherpa> b2.norm = 1e-05
Note that the normalization of b2, b2.norm, appears to have a better fit at values less than the default minimum. We set the b2.norm.min to a new, smaller value to give us the optimal fit. Now we have a reasonable start to the fit:
sherpa> plot("fit", "bkgfit", xlog=True, ylog=True)
sherpa> plt.subplots_adjust(hspace=0.5)
The plot is visible Figure 10.
Figure 10: Plot of the ungrouped source data with custom fits
![[Plots of the ungrouped source and data with custom fits]](fit-start.png)
![[Print media version: Plots of the ungrouped source and data with custom fits]](fit-start.png)
Figure 10: Plot of the ungrouped source data with custom fits
The spacing between the plots has been increased with the plt.subplots_adjust function to separate the x-axis label from the top plot and the title from the bottom plot.
In general, we may also want to change our fit statistic or optimization method with set_stat and set_method (which we have already done):
sherpa> fit() Dataset = 1 Method = neldermead Statistic = cash Initial fit statistic = -61384.7 Final fit statistic = -62114.5 at function evaluation 1882 Data points = 892 Degrees of freedom = 887 Change in statistic = 729.845 a1.nH 0.00964182 b1.kT 5.29565 b1.norm 0.000256662 b2.kT 0.612503 b2.norm 1.27347e-05
Once the fit is complete, Sherpa will display the fit values to the screen. You may also display the overall status of the Sherpa session with the show_all and show_bkg command:
sherpa> show_all() Data Set: 1 Filter: 0.4964-7.0080 Energy (keV) Bkg Scale: 0.694444 Noticed Channels: 35-480 name = source.pi channel = Float64[1024] counts = Float64[1024] staterror = None syserror = None grouping = None quality = None exposure = 49429.233467924 backscal = 1.872535141462e-05 areascal = 1.0 grouped = False subtracted = False units = energy rate = True plot_fac = 0 response_ids = [1] background_ids = [1] RMF Data Set: 1:1 name = source.rmf energ_lo = Float64[1090] energ_hi = Float64[1090] n_grp = UInt64[1090] f_chan = UInt64[1090] n_chan = UInt64[1090] matrix = Float64[572598] e_min = Float64[1024] e_max = Float64[1024] detchans = 1024 offset = 1 ethresh = 1e-10 ARF Data Set: 1:1 name = source.arf energ_lo = Float64[1090] energ_hi = Float64[1090] specresp = Float64[1090] exposure = 49470.94775939 ethresh = 1e-10 Background Data Set: 1:1 Filter: 0.4964-7.0080 Energy (keV) Noticed Channels: 35-480 name = back.pi channel = Float64[1024] counts = Float64[1024] staterror = None syserror = None grouping = None quality = None exposure = 49429.233467924 backscal = 2.6964506037052e-05 areascal = 1.0 grouped = False subtracted = False units = energy rate = True plot_fac = 0 response_ids = [1] background_ids = [] Background RMF Data Set: 1:1 name = back.rmf energ_lo = Float64[1090] energ_hi = Float64[1090] n_grp = UInt64[1090] f_chan = UInt64[1090] n_chan = UInt64[1090] matrix = Float64[552166] e_min = Float64[1024] e_max = Float64[1024] detchans = 1024 offset = 1 ethresh = 1e-10 Background ARF Data Set: 1:1 name = back.arf energ_lo = Float64[1090] energ_hi = Float64[1090] specresp = Float64[1090] exposure = 49470.94775939 ethresh = 1e-10 Model: 1 apply_rmf(apply_arf(49429.233467924 * (xsphabs.a1 * xsbbody.b1 + 0.694444444444465 * xsphabs.a1 * xsbbody.b2))) Param Type Value Min Max Units ----- ---- ----- --- --- ----- a1.nH thawed 0.00964182 0 1e+06 10^22 atoms / cm^2 b1.kT thawed 5.29565 0.0001 200 keV b1.norm thawed 0.000256662 0 1e+24 b2.kT thawed 0.612503 0.0001 200 keV b2.norm thawed 1.27347e-05 1e-06 1e+24 Optimization Method: NelderMead name = simplex ftol = 1.1920928955078125e-07 maxfev = None initsimplex = 0 finalsimplex = 9 step = None iquad = 1 verbose = 0 reflect = True Statistic: Cash Poisson Log-likelihood function. Counts are sampled from the Poisson distribution, and so the best way to assess the quality of model fits is to use the product of individual Poisson probabilities computed in each bin i, or the likelihood L: L = (product)_i [ M(i)^D(i)/D(i)! ] * exp[-M(i)] where M(i) = S(i) + B(i) is the sum of source and background model amplitudes, and D(i) is the number of observed counts, in bin i. The Cash statistic [1]_ is derived by (1) taking the logarithm of the likelihood function, (2) changing its sign, (3) dropping the factorial term (which remains constant during fits to the same dataset), and (4) multiplying by two: C = 2 * (sum)_i [ M(i) - D(i) log M(i) ] The factor of two exists so that the change in cash statistic from one model fit to the next, (Delta)C, is distributed approximately as (Delta)chi-square when the number of counts in each bin is high. One can then in principle use (Delta)C instead of (Delta)chi-square in certain model comparison tests. However, unlike chi-square, the cash statistic may be used regardless of the number of counts in each bin. The magnitude of the Cash statistic depends upon the number of bins included in the fit and the values of the data themselves. Hence one cannot analytically assign a goodness-of-fit measure to a given value of the Cash statistic. Such a measure can, in principle, be computed by performing Monte Carlo simulations. One would repeatedly sample new datasets from the best-fit model, fit them, and note where the observed Cash statistic lies within the derived distribution of Cash statistics. Alternatively, the `cstat` statistic can be used. Notes ----- The background should not be subtracted from the data when this statistic is used. It should be modeled simultaneously with the source. The Cash statistic function evaluates the logarithm of each data point. If the number of counts is zero or negative, it's not possible to take the log of that number. The behavior in this case is controlled by the `truncate` and `trunc_value` settings in the .sherpa.rc file: - if `truncate` is `True` (the default value), then `log(trunc_value)` is used whenever the data value is <= 0. The default is `trunc_value=1.0e-25`. - when `truncate` is `False` an error is raised. References ---------- .. [1] "Parameter estimation in astronomy through application of the likelihood ratio", Cash, W. 1979, ApJ 228, 939 http://adsabs.harvard.edu/abs/1979ApJ...228..939C Fit:Dataset = 1 Method = neldermead Statistic = cash Initial fit statistic = -61384.7 Final fit statistic = -62114.5 at function evaluation 1761 Data points = 892 Degrees of freedom = 887 Change in statistic = 729.845 a1.nH 0.00964182 b1.kT 5.29565 b1.norm 0.000256662 b2.kT 0.612503 b2.norm 1.27347e-05
One may visually examine the fit with the Sherpa plot functions:
sherpa> set_xlog() sherpa> set_ylog() sherpa> plot_fit_resid(yerrorbars=False) WARNING: The displayed errorbars have been supplied with the data or calculated using chi2xspecvar; the errors are not used in fits with cash WARNING: The displayed errorbars have been supplied with the data or calculated using chi2xspecvar; the errors are not used in fits with cash
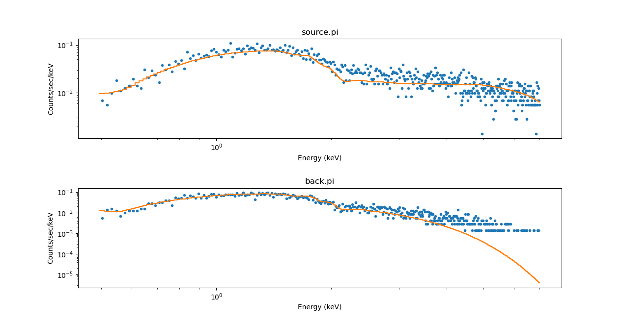
Figure 11: Simultaneous fit of the ungrouped source data (different responses)
![[Simultaneous fit of the ungrouped source data (different responses)]](fit-results-source.png)
![[Print media version: Simultaneous fit of the ungrouped source data (different responses)]](fit-results-source.png)
Figure 11: Simultaneous fit of the ungrouped source data (different responses)
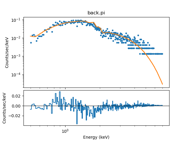
sherpa> plot_bkg_fit_resid(yerrorbars=False) WARNING: The displayed errorbars have been supplied with the data or calculated using chi2xspecvar; the errors are not used in fits with cash WARNING: The displayed errorbars have been supplied with the data or calculated using chi2xspecvar; the errors are not used in fits with cash
Figure 12: Simultaneous fit of the ungrouped background data (different responses)
![[Simultaneous fit of the ungrouped background data (different responses)]](fit-results-background.png)
![[Print media version: Simultaneous fit of the ungrouped background data (different responses)]](fit-results-background.png)
Figure 12: Simultaneous fit of the ungrouped background data (different responses)
We may also calculate the confidence 1σ error estimates on the individual parameters of the fit:
sherpa> conf() a1.nH lower bound: ----- a1.nH upper bound: 0.00116756 b2.norm lower bound: -7.08618e-07 b1.norm lower bound: -0.000163106 b2.norm upper bound: 5.11993e-07 b1.norm upper bound: 0.00116838 b1.kT lower bound: -1.86334 b1.kT upper bound: 4.92298 b2.kT lower bound: -0.0128658 b2.kT +: WARNING: The confidence level lies within (6.311482e-01, 6.336483e-01) b2.kT upper bound: 0.0198952 WARNING: hard minimum hit for parameter a1.nH Dataset = 1 Confidence Method = confidence Fitting Method = neldermead Statistic = cash confidence 1-sigma (68.2689%) bounds: Param Best-Fit Lower Bound Upper Bound ----- -------- ----------- ----------- a1.nH 0.00964182 ----- 0.00116756 b1.kT 5.29565 -1.86334 4.92298 b1.norm 0.000256662 -0.000163106 0.00116838 b2.kT 0.612503 -0.0128658 0.0198952 b2.norm 1.27347e-05 -7.08618e-07 5.11993e-07
Manually defining source and background models
We may choose to explicitly set the complete convolved model expression to be used for fitting a source data set and its associated background, using the new functions set_full_model and set_bkg_full_model, together with get_response or get_arf/get_rmf. These functions offer an alternative to using the functions set_source and set_bkg_source, which automatically convolve the appropriate instrument response with a defined source and background model expression.
The following set of commands represents the manual definition of the chosen source and background models, which were automatically (and equivalently) defined above with set_source and set_bkg_model.
sherpa> rsp = get_response() sherpa> bkg_rsp = get_response(bkg_id=1) sherpa> bkg_scale = get_bkg_scale(units='rate') sherpa> src_model = rsp(xswabs.a1 * xsbbody.b1) sherpa> bkg_model = bkg_rsp(a1 * xsbbody.b2) sherpa> set_full_model(src_model + bkg_scale * bkg_model) sherpa> set_bkg_full_model(bkg_model)
![[WARNING]](../../imgs/warning.png)
The units argument of get_bkg_scale is used to calculate the scale factor either for background subtraction (units='counts', the default) or for background modelling (units='rate'). In this case, as we are modelling the background, we use the rate setting: for this option the ratio of the exposure times is not included in the scale factor, since the models are calculating rates and not counts.
You could also use get_arf and get_rmf in place of get_response, as follows:
sherpa> arf = get_arf() sherpa> rmf = get_rmf() sherpa> bgarf = get_arf(bkg_id=1) sherpa> bgrmf = get_rmf(bkg_id=1) sherpa> bkg_scale = get_bkg_scale(units='rate') sherpa> src_model = rmf(arf(xswabs.a1 * xsbbody.b1)) sherpa> bkg_model = bgrmf(bgarf(a1 * xsbbody.b2)) sherpa> set_full_model(src_model + bkg_scale * bkg_model) sherpa> set_bkg_full_model(bkg_model)
Note that the Sherpa functions which are related to a source or background model defined with set_source or set_bkg_source, such as plot_source/plot_bkg_source or calc_energy_flux, are not compatible with the complete model expression defined by the set_full_model or set_bkg_full_model functions. In order to use these Sherpa functions, users should define source and background models in the usual way with the automatic functions set_source and set_bkg_source.
Scripting It
The file fit.py is a Python script which performs the primary commands used above; it can be executed by typing %run -i fit.py on the Sherpa command line.
The Sherpa script command may be used to save everything typed on the command line in a Sherpa session:
sherpa> script(filename="sherpa.log", clobber=False)
(Note that restoring a Sherpa session from such a file could be problematic since it may include syntax errors, unwanted fitting trials, et cetera.)
Summary
This thread is complete, so we can exit the Sherpa session:
sherpa> quit()
History
| 14 Jan 2005 | updated for CIAO 3.2: minor change in fit results |
| 21 Dec 2005 | reviewed for CIAO 3.3: no changes |
| 01 Dec 2006 | reviewed for CIAO 3.4: no changes |
| 08 Dec 2008 | updated for Sherpa 4.1 |
| 29 Apr 2009 | new script command is available with CIAO 4.1.2 |
| 17 Dec 2009 | updated for CIAO 4.2: the fit_bkg function is available |
| 14 Jun 2010 | updated to include confidence 1-sigma error estimates on individual parameters of fits |
| 14 Jun 2010 | updated with an example using the CIAO 4.2 Sherpa v2 functions set_full_model, set_bkg_full_model, get_response, and a new usage of the functions get_arf and get_rmf. S-Lang version of thread removed. |
| 15 Dec 2010 | updated for CIAO 4.3: new functions get_bkg_scale, calc_stat_info, and set_xlog/set_ylog are available |
| 22 Jun 2011 | renamed thread from "Independent Background Responses" to "Simultaneously Fitting Source and Background Spectra" |
| 15 Dec 2011 | reviewed for CIAO 4.4: added a warning about filtering/grouping source and background |
| 13 Dec 2012 | reviewed for CIAO 4.5: removed an outdated warning about filtering/grouping both source and background data, as the associated bug was fixed |
| 04 Dec 2013 | reviewed for CIAO 4.6: removed references to deprecated tools, updated fit results |
| 03 Dec 2015 | updated for CIAO 4.8: no content change |
| 09 Nov 2016 | reviewed for CIAO 4.9: updated fits, no content change. |
| 25 May 2018 | reviewed for CIAO 4.10: no content change; typeset equations with LaTeX. |
| 10 Dec 2018 | reviewed for CIAO 4.11, screen output revised |
| 11 Dec 2019 | Updated to use Matplotlib in CIAO 4.12 and to take advantage of changes to the plot support (e.g. plot_fit(ylog=True)); the text and commands have been revised slightly. |
| 17 Dec 2020 | Updated for CIAO 4.13: the plots now use the new style for PHA datasets; a section on grouping background and source datasets has been added; the Simultaneously Fit Source and Background with Independent Responses section now uses a Poisson-based likelihood when fitting the ungrouped data; and added discussions about changes to get_bkg_scale in CIAO 4.13. |
| 24 Mar 2022 | revised for CIAO 4.14, no new content change. |
| 01 Dec 2022 | revised for CIAO 4.15, no new content, typos fixed. |
| 11 Dec 2024 | revised for CIAO 4.17; updated residual plot figures. |
| 20 Nov 2025 | revised for CIAO 4.18, fit results updated. |